🇳🇴 🇬🇧 🇩🇪 🇨🇿 🇫🇮

Meteor, poloha: Straumen 2023-12-12 05:26:49 UTC

Soubor KML  |  InteraktivnĂ­ mapa

Mapa zobrazuje dráhy meteoru. Světlejší čáry ukazují směry od pozorovacích stanic při objevení se meteoru a tmavší čáry, kde byl naposledy viděn. Modrá šipka značí viditelnou dráhu meteoru.

static map
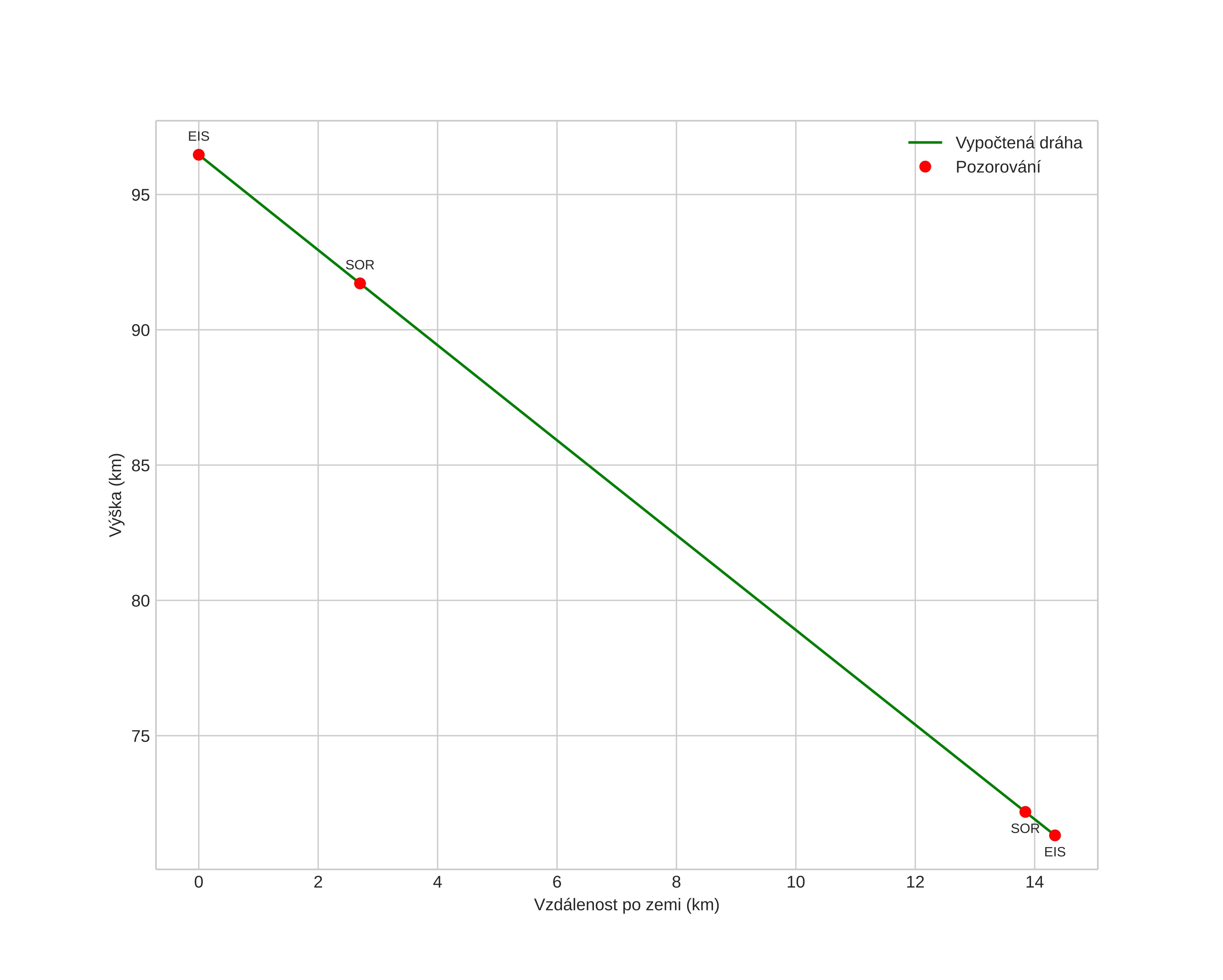
height profile
Atmosférická dráha meteoru:
Počáteční výška: 95,7 km
Konečná výška: 71,4 km
Počáteční poloha: 67,558N 16,340E
Konečná poloha: 67,417N 16,415E
Směr: 168,4°
Sklon: 56,7°
VstupnĂ­ rychlost: 27,8 km/s
Rektascenze radiantu: 01:56 (29,1°)
Deklinace radiantu: 76,3°
MeteorickĂ˝ roj: sporadickĂ˝
Elementy dráhy meteoroidu:
Vzdálenost v periheliu: 0,879 AU
Excentricita: 0,947
Sklon dráhy: 33,0°
Délka vzestupného uzlu: 259,6°
Argument perihelia: 218,8°
Střední anomálie: 359,6°
Epocha: 2023 DEC 12 05:26:49
orbit plot

NeinteraktivnĂ­ graf | InteraktivnĂ­ graf

position vs time
speed and acceleration