🇳🇴 🇬🇧 🇩🇪 🇨🇿 🇫🇮

Meteor Straumenin yllä 2023-12-12 05:26:49 UTC

KML-tiedosto  |  Interaktiivinen kartta

Kartta näyttää meteorin suuntahavainnot. Vaaleammat viivat näyttävät suunnat havaintoasemilta meteorin ilmestyessä, ja tummemmat viivat näyttävät, missä se viimeksi nähtiin. Sininen nuoli näyttää meteorin näkyvän lennon.

static map
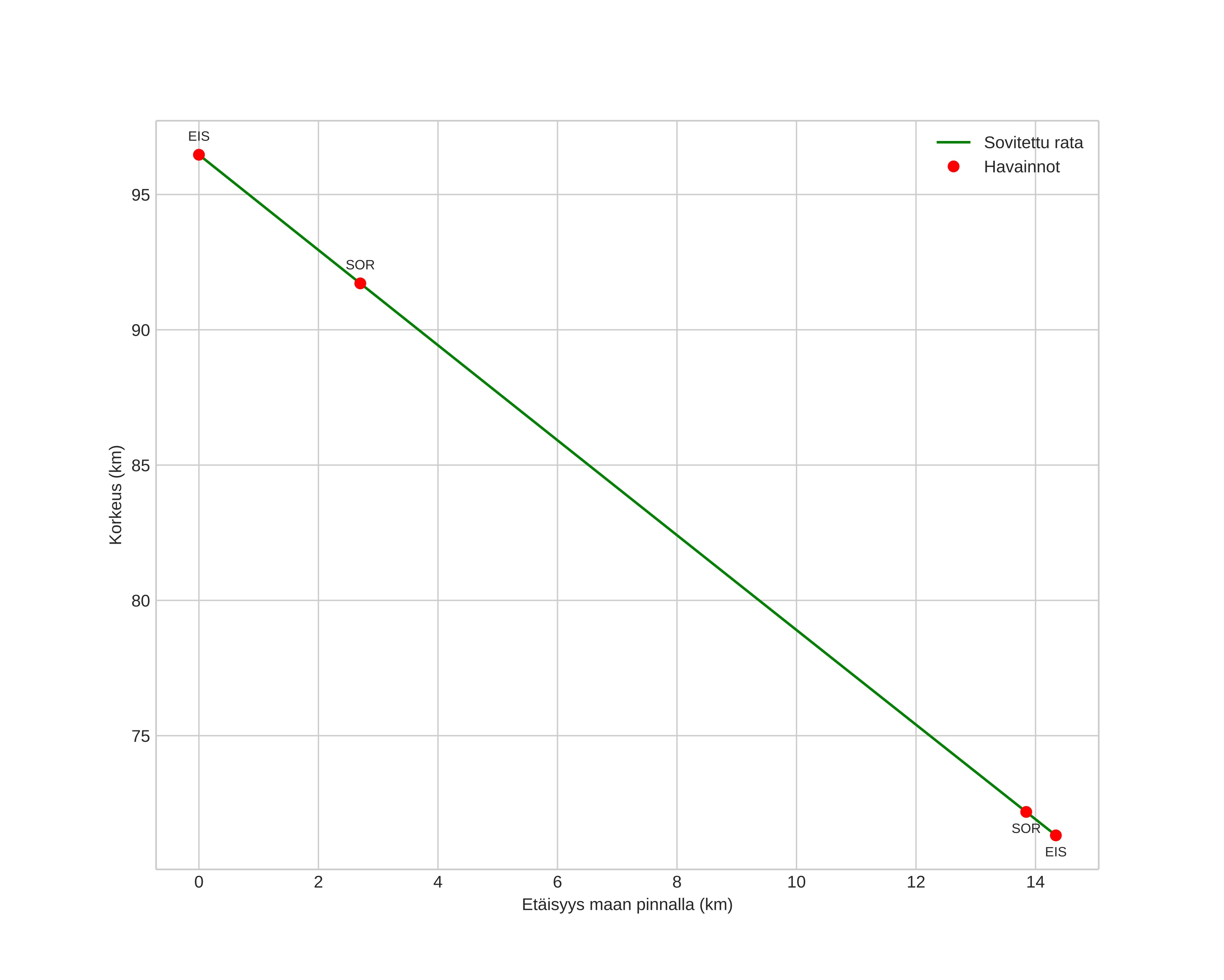
height profile
Meteorin ilmakehärata:
Alkukorkeus: 95,7 km
Loppukorkeus: 71,4 km
Alkupiste: 67,558N 16,340E
Loppupiste: 67,417N 16,415E
Suunta: 168,4°
Kallistuskulma: 56,7°
Tulonopeus: 27,8 km/s
Radiantin R,A,: 01:56 (29,1°)
Radiantin Dekl,: 76,3°
Meteoriparvi: Sporadinen
Meteoroidin rataelementit:
Perihelietäisyys: 0,879 AU
Eksentrisyys: 0,947
Inklinaatio: 33,0°
Nousevan solmun pituus: 259,6°
Perihelin argumentti: 218,8°
Keskianomalia: 359,6°
Epookki: 2023 DEC 12 05:26:49
orbit plot

Ei-interaktiivinen kuvaaja | Interaktiivinen kuvaaja

position vs time
speed and acceleration