🇳🇴 🇬🇧 🇩🇪 🇨🇿 🇫🇮

Meteor, poloha: Svolvær 2023-12-12 06:05:12 UTC

Soubor KML  |  InteraktivnĂ­ mapa

Mapa zobrazuje dráhy meteoru. Světlejší čáry ukazují směry od pozorovacích stanic při objevení se meteoru a tmavší čáry, kde byl naposledy viděn. Modrá šipka značí viditelnou dráhu meteoru.

static map
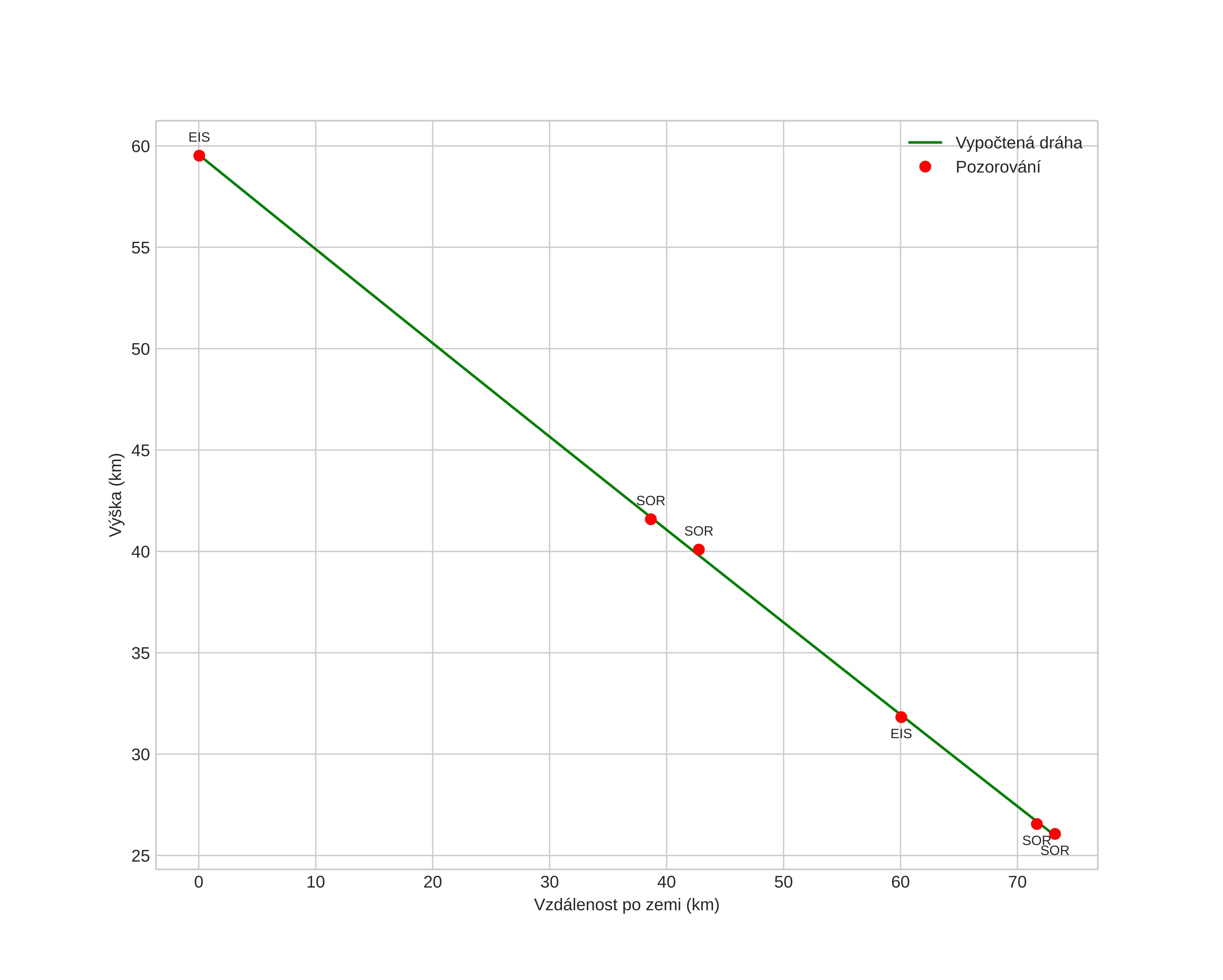
height profile
Atmosférická dráha meteoru:
Počáteční výška: 56,8 km
Konečná výška: 30,5 km
Počáteční poloha: 68,028N 13,689E
Konečná poloha: 68,072N 14,611E
Směr: 82,2°
Sklon: 34,3°
VstupnĂ­ rychlost: 27,5 km/s
Rektascenze radiantu: 07:39 (114,9°)
Deklinace radiantu: 26,1°
MeteorickĂ˝ roj: sporadickĂ˝
Elementy dráhy meteoroidu:
Vzdálenost v periheliu: 0,170 AU
Excentricita: 0,796
Sklon dráhy: 7,0°
Délka vzestupného uzlu: 259,6°
Argument perihelia: 330,0°
Střední anomálie: 301,5°
Epocha: 2023 DEC 12 06:05:12
orbit plot

NeinteraktivnĂ­ graf | InteraktivnĂ­ graf

position vs time
speed and acceleration