🇳🇴 🇬🇧 🇩🇪 🇨🇿 🇫🇮

Meteor Svolværin yllä 2023-12-12 06:05:12 UTC

KML-tiedosto  |  Interaktiivinen kartta

Kartta näyttää meteorin suuntahavainnot. Vaaleammat viivat näyttävät suunnat havaintoasemilta meteorin ilmestyessä, ja tummemmat viivat näyttävät, missä se viimeksi nähtiin. Sininen nuoli näyttää meteorin näkyvän lennon.

static map
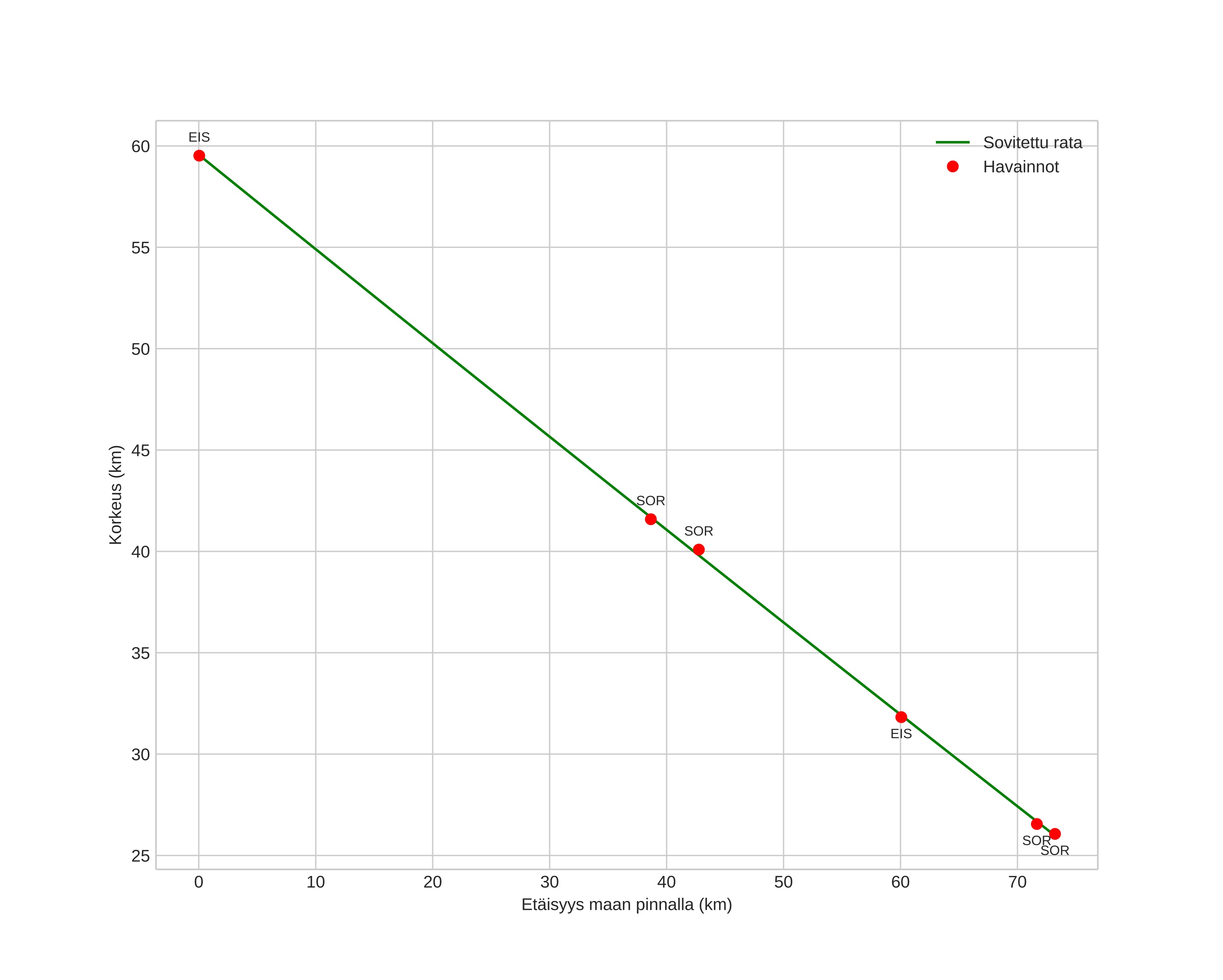
height profile
Meteorin ilmakehärata:
Alkukorkeus: 56,8 km
Loppukorkeus: 30,5 km
Alkupiste: 68,028N 13,689E
Loppupiste: 68,072N 14,611E
Suunta: 82,2°
Kallistuskulma: 34,3°
Tulonopeus: 27,5 km/s
Radiantin R,A,: 07:39 (114,9°)
Radiantin Dekl,: 26,1°
Meteoriparvi: Sporadinen
Meteoroidin rataelementit:
Perihelietäisyys: 0,170 AU
Eksentrisyys: 0,796
Inklinaatio: 7,0°
Nousevan solmun pituus: 259,6°
Perihelin argumentti: 330,0°
Keskianomalia: 301,5°
Epookki: 2023 DEC 12 06:05:12
orbit plot

Ei-interaktiivinen kuvaaja | Interaktiivinen kuvaaja

position vs time
speed and acceleration