🇳🇴 🇬🇧 🇩🇪 🇨🇿 🇫🇮

Meteor, poloha: Borkenes 2023-12-12 06:59:33 UTC

Soubor KML  |  InteraktivnĂ­ mapa

Mapa zobrazuje dráhy meteoru. Světlejší čáry ukazují směry od pozorovacích stanic při objevení se meteoru a tmavší čáry, kde byl naposledy viděn. Modrá šipka značí viditelnou dráhu meteoru.

static map
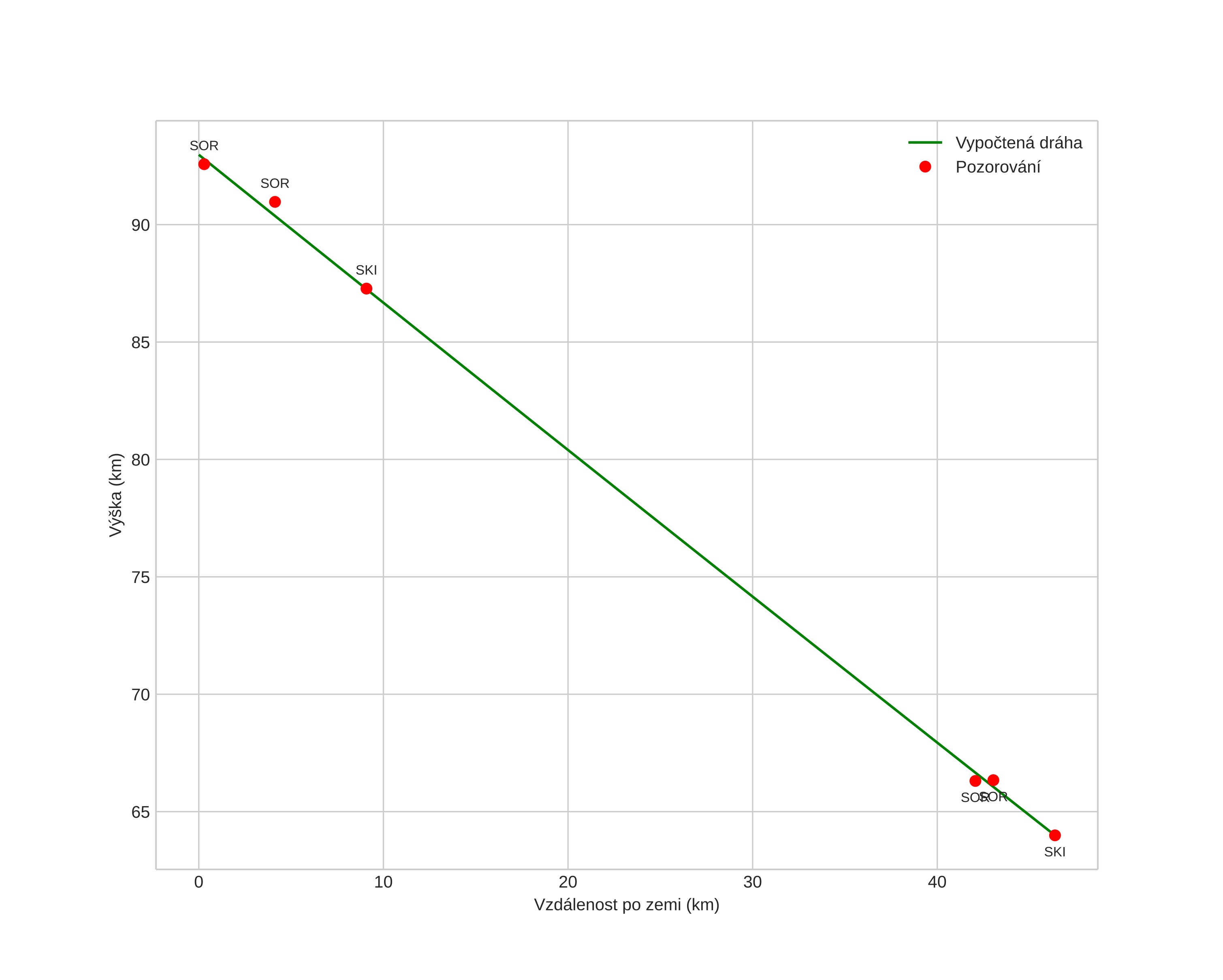
height profile
Atmosférická dráha meteoru:
Počáteční výška: 92,1 km
Konečná výška: 63,5 km
Počáteční poloha: 68,864N 15,111E
Konečná poloha: 68,784N 16,224E
Směr: 100,7°
Sklon: 32,1°
VstupnĂ­ rychlost: 36,0 km/s
Rektascenze radiantu: 07:30 (112,6°)
Deklinace radiantu: 32,0°
MeteorickĂ˝ roj: Geminidy
Elementy dráhy meteoroidu:
Vzdálenost v periheliu: 0,125 AU
Excentricita: 0,901
Sklon dráhy: 24,1°
Délka vzestupného uzlu: 259,6°
Argument perihelia: 327,4°
Střední anomálie: 334,1°
Epocha: 2023 DEC 12 06:59:33
orbit plot

NeinteraktivnĂ­ graf | InteraktivnĂ­ graf

position vs time
speed and acceleration