🇳🇴 🇬🇧 🇩🇪 🇨🇿 🇫🇮

Meteor Borkenesin yllä 2023-12-12 06:59:33 UTC

KML-tiedosto  |  Interaktiivinen kartta

Kartta näyttää meteorin suuntahavainnot. Vaaleammat viivat näyttävät suunnat havaintoasemilta meteorin ilmestyessä, ja tummemmat viivat näyttävät, missä se viimeksi nähtiin. Sininen nuoli näyttää meteorin näkyvän lennon.

static map
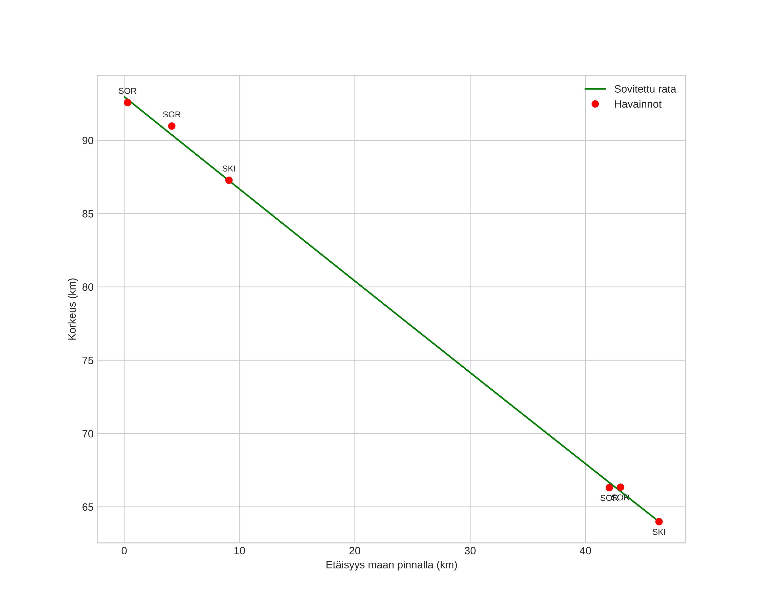
height profile
Meteorin ilmakehärata:
Alkukorkeus: 92,1 km
Loppukorkeus: 63,5 km
Alkupiste: 68,864N 15,111E
Loppupiste: 68,784N 16,224E
Suunta: 100,7°
Kallistuskulma: 32,1°
Tulonopeus: 36,0 km/s
Radiantin R,A,: 07:30 (112,6°)
Radiantin Dekl,: 32,0°
Meteoriparvi: Geminidit
Meteoroidin rataelementit:
Perihelietäisyys: 0,125 AU
Eksentrisyys: 0,901
Inklinaatio: 24,1°
Nousevan solmun pituus: 259,6°
Perihelin argumentti: 327,4°
Keskianomalia: 334,1°
Epookki: 2023 DEC 12 06:59:33
orbit plot

Ei-interaktiivinen kuvaaja | Interaktiivinen kuvaaja

position vs time
speed and acceleration

Skibotn (SKI) cam3


gnomonic
Videot:
• Gnomoninen
• Gnomoninen koordinaateilla
• Alkuperäinen
• Alkuperäinen koordinaateilla
Kuvat:
• Gnomoninen
• Gnomoninen koordinaateilla
• Gnomoninen merkinnöillä
• Alkuperäinen
• Alkuperäinen koordinaateilla
• Alkuperäinen maskilla
Tekstitiedostot:
• Havaintoraportti
• Observaatio
• Koordinaatit
• Virheilmoitukset
• Loki
Kirkkaus