🇳🇴 🇬🇧 🇩🇪 🇨🇿 🇫🇮

Meteor, poloha: Øksfjord 2023-12-12 18:06:40 UTC

Soubor KML  |  Interaktivní mapa

Mapa zobrazuje dráhy meteoru. Světlejší čáry ukazují směry od pozorovacích stanic při objevení se meteoru a tmavší čáry, kde byl naposledy viděn. Modrá šipka značí viditelnou dráhu meteoru.

static map
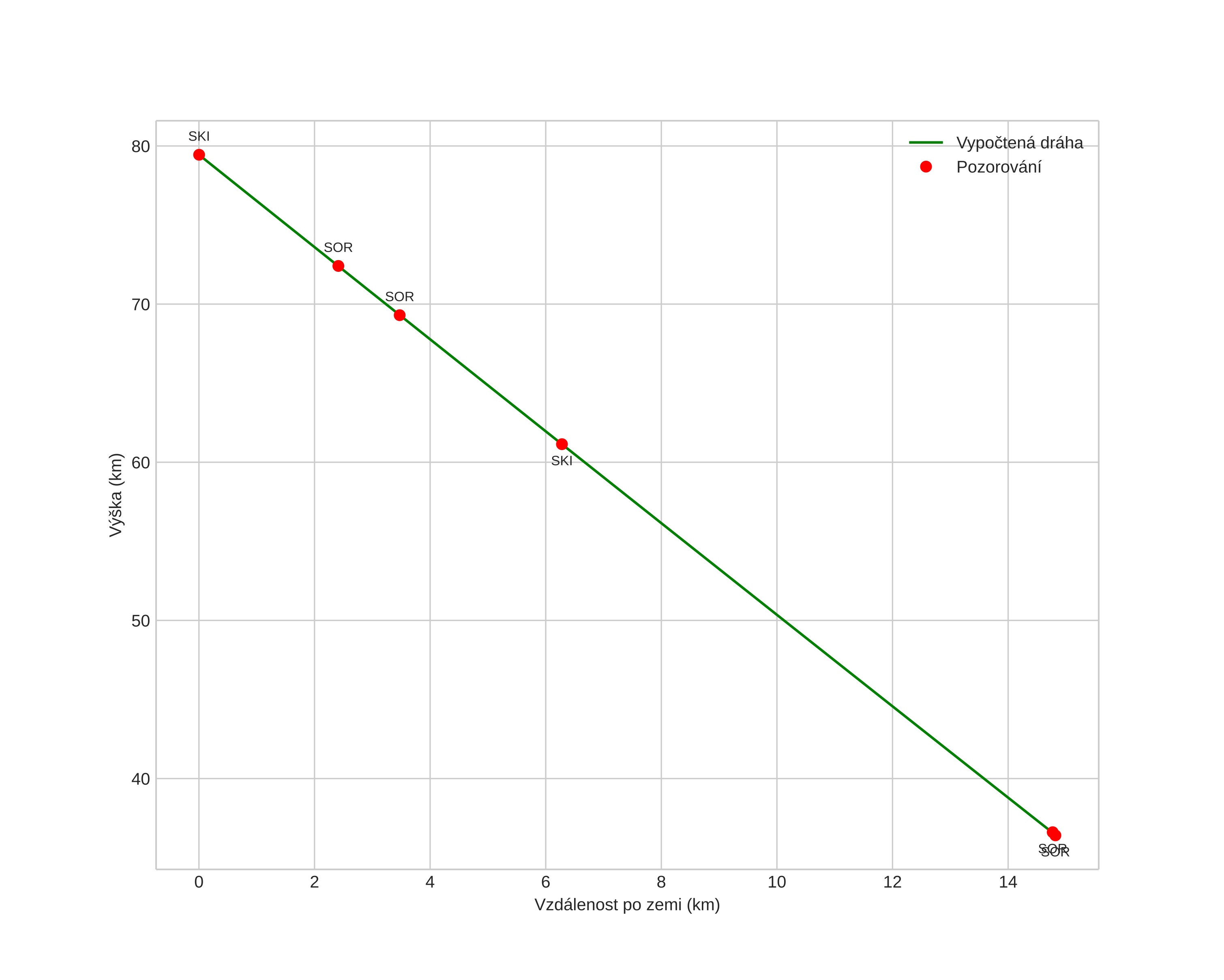
height profile
Atmosférická dráha meteoru:
Počáteční výška: 78,1 km
Konečná výška: 36,4 km
Počáteční poloha: 70,107N 21,850E
Konečná poloha: 70,189N 22,156E
Směr: 51,5°
Sklon: 70,6°
Vstupní rychlost: 15,7 km/s
Rektascenze radiantu: 22:56 (344,2°)
Deklinace radiantu: 51,2°
Meteorický roj: sporadický
Elementy dráhy meteoroidu:
Vzdálenost v periheliu: 0,976 AU
Excentricita: 0,588
Sklon dráhy: 13,5°
Délka vzestupného uzlu: 260,1°
Argument perihelia: 192,6°
Střední anomálie: 357,4°
Epocha: 2023 DEC 12 18:06:40
orbit plot

Neinteraktivní graf | Interaktivní graf

position vs time
speed and acceleration