🇳🇴 🇬🇧 🇩🇪 🇨🇿 🇫🇮

Meteor Øksfjordin yllä 2023-12-12 18:06:40 UTC

KML-tiedosto  |  Interaktiivinen kartta

Kartta näyttää meteorin suuntahavainnot. Vaaleammat viivat näyttävät suunnat havaintoasemilta meteorin ilmestyessä, ja tummemmat viivat näyttävät, missä se viimeksi nähtiin. Sininen nuoli näyttää meteorin näkyvän lennon.

static map
height profile
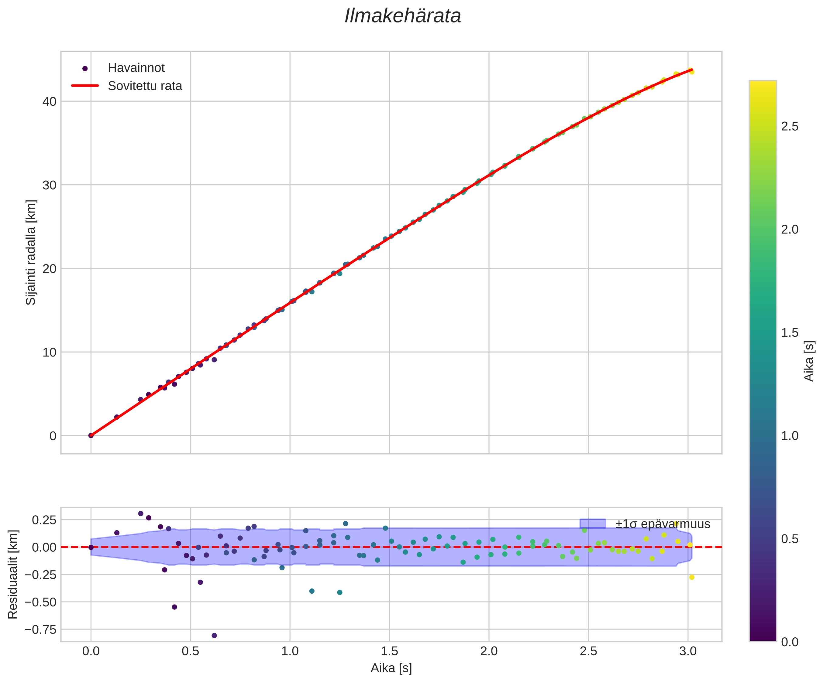
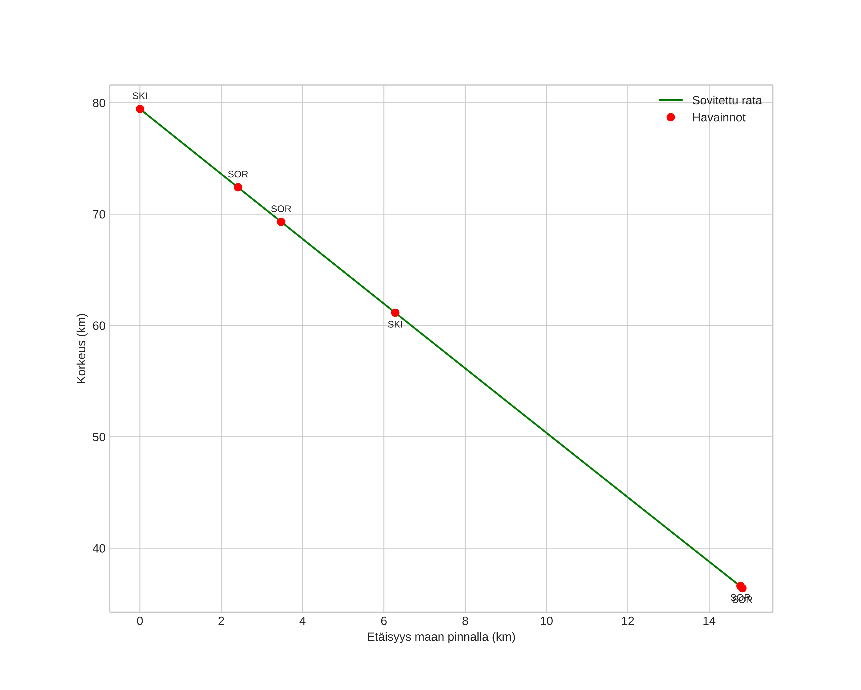
Meteorin ilmakehärata:
Alkukorkeus: 78,1 km
Loppukorkeus: 36,4 km
Alkupiste: 70,107N 21,850E
Loppupiste: 70,189N 22,156E
Suunta: 51,5°
Kallistuskulma: 70,6°
Tulonopeus: 15,7 km/s
Radiantin R,A,: 22:56 (344,2°)
Radiantin Dekl,: 51,2°
Meteoriparvi: Sporadinen
Meteoroidin rataelementit:
Perihelietäisyys: 0,976 AU
Eksentrisyys: 0,588
Inklinaatio: 13,5°
Nousevan solmun pituus: 260,1°
Perihelin argumentti: 192,6°
Keskianomalia: 357,4°
Epookki: 2023 DEC 12 18:06:40
orbit plot

Ei-interaktiivinen kuvaaja | Interaktiivinen kuvaaja

position vs time
speed and acceleration