🇳🇴 🇬🇧 🇩🇪 🇨🇿 🇫🇮

Meteor, poloha: Storsteinnes 2023-12-12 23:15:13 UTC

Soubor KML  |  InteraktivnĂ­ mapa

Mapa zobrazuje dráhy meteoru. Světlejší čáry ukazují směry od pozorovacích stanic při objevení se meteoru a tmavší čáry, kde byl naposledy viděn. Modrá šipka značí viditelnou dráhu meteoru.

static map
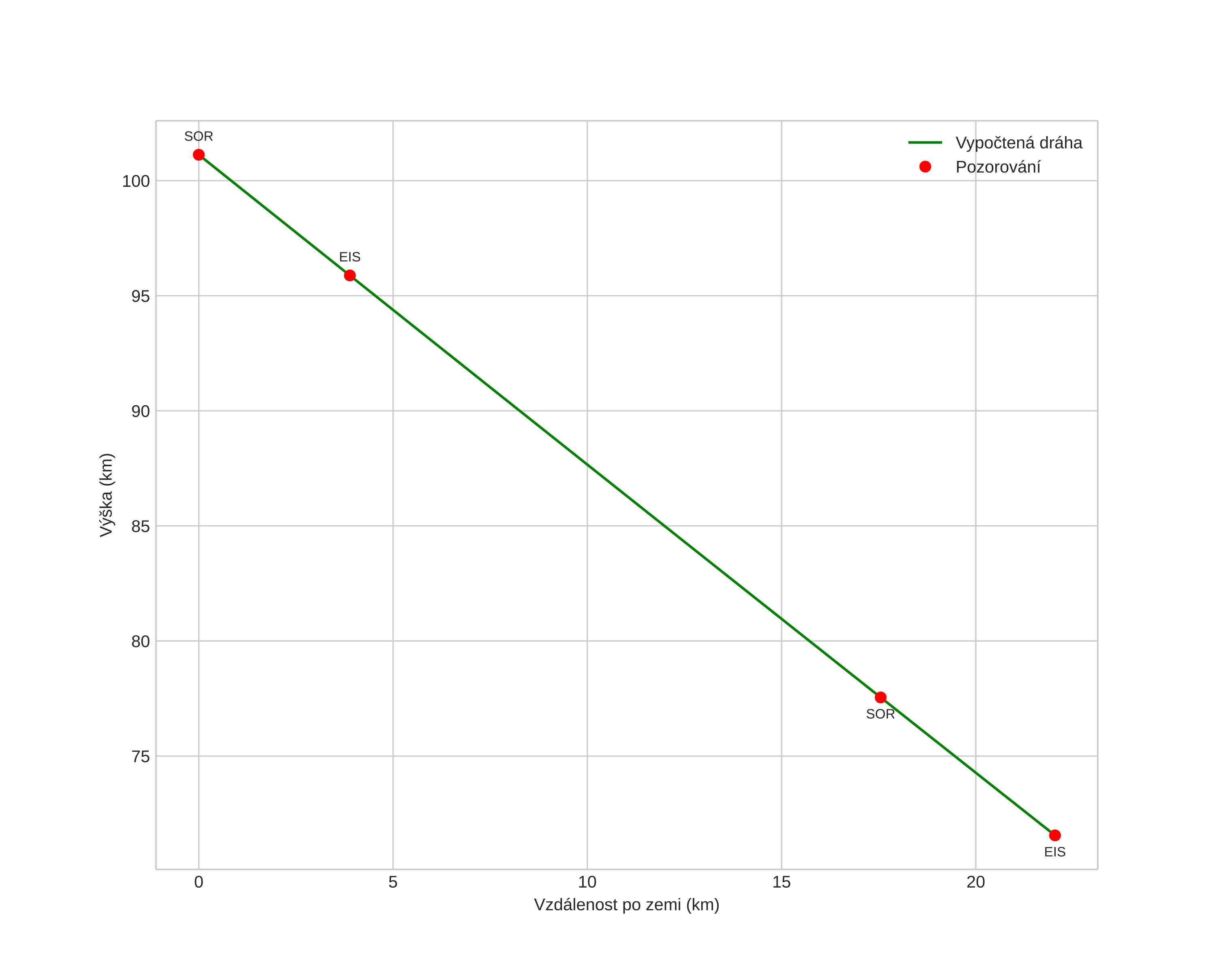
height profile
Atmosférická dráha meteoru:
Počáteční výška: 101,8 km
Konečná výška: 71,1 km
Počáteční poloha: 68,927N 19,562E
Konečná poloha: 69,097N 19,244E
Směr: 326,3°
Sklon: 53,5°
VstupnĂ­ rychlost: 45,4 km/s
Rektascenze radiantu: 07:31 (112,9°)
Deklinace radiantu: 34,4°
MeteorickĂ˝ roj: sporadickĂ˝
Elementy dráhy meteoroidu:
Vzdálenost v periheliu: 0,100 AU
Excentricita: 0,978
Sklon dráhy: 44,8°
Délka vzestupného uzlu: 260,3°
Argument perihelia: 324,8°
Střední anomálie: 356,9°
Epocha: 2023 DEC 12 23:15:13
orbit plot

NeinteraktivnĂ­ graf | InteraktivnĂ­ graf

position vs time
speed and acceleration