🇳🇴 🇬🇧 🇩🇪 🇨🇿 🇫🇮

Meteor Storsteinnesin yllä 2023-12-12 23:15:13 UTC

KML-tiedosto  |  Interaktiivinen kartta

Kartta näyttää meteorin suuntahavainnot. Vaaleammat viivat näyttävät suunnat havaintoasemilta meteorin ilmestyessä, ja tummemmat viivat näyttävät, missä se viimeksi nähtiin. Sininen nuoli näyttää meteorin näkyvän lennon.

static map
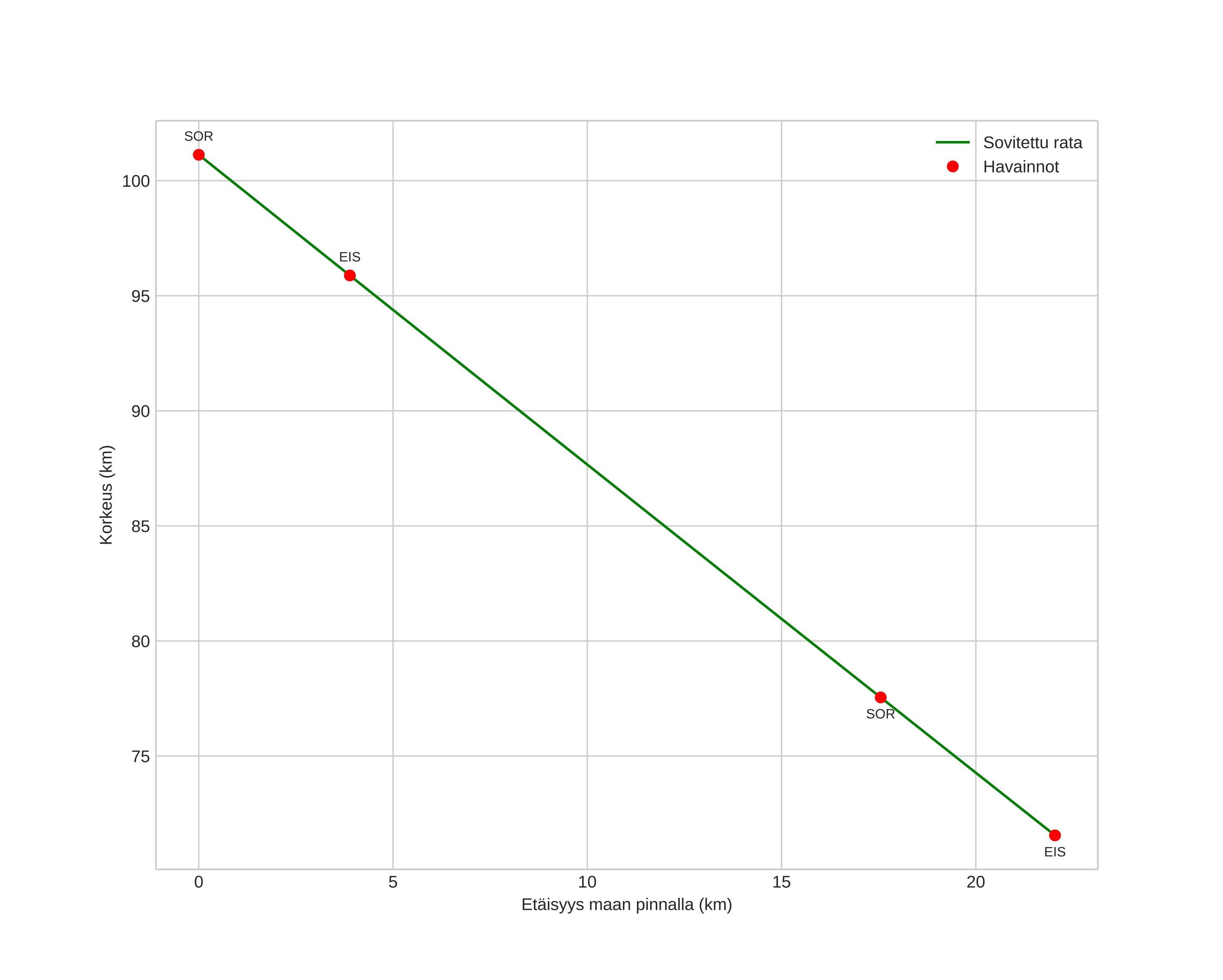
height profile
Meteorin ilmakehärata:
Alkukorkeus: 101,8 km
Loppukorkeus: 71,1 km
Alkupiste: 68,927N 19,562E
Loppupiste: 69,097N 19,244E
Suunta: 326,3°
Kallistuskulma: 53,5°
Tulonopeus: 45,4 km/s
Radiantin R,A,: 07:31 (112,9°)
Radiantin Dekl,: 34,4°
Meteoriparvi: Sporadinen
Meteoroidin rataelementit:
Perihelietäisyys: 0,100 AU
Eksentrisyys: 0,978
Inklinaatio: 44,8°
Nousevan solmun pituus: 260,3°
Perihelin argumentti: 324,8°
Keskianomalia: 356,9°
Epookki: 2023 DEC 12 23:15:13
orbit plot

Ei-interaktiivinen kuvaaja | Interaktiivinen kuvaaja

position vs time
speed and acceleration