🇳🇴 🇬🇧 🇩🇪 🇨🇿 🇫🇮

Meteor, poloha: Brøstadbotn 2023-12-13 00:42:34 UTC

Soubor KML  |  InteraktivnĂ­ mapa

Mapa zobrazuje dráhy meteoru. Světlejší čáry ukazují směry od pozorovacích stanic při objevení se meteoru a tmavší čáry, kde byl naposledy viděn. Modrá šipka značí viditelnou dráhu meteoru.

static map
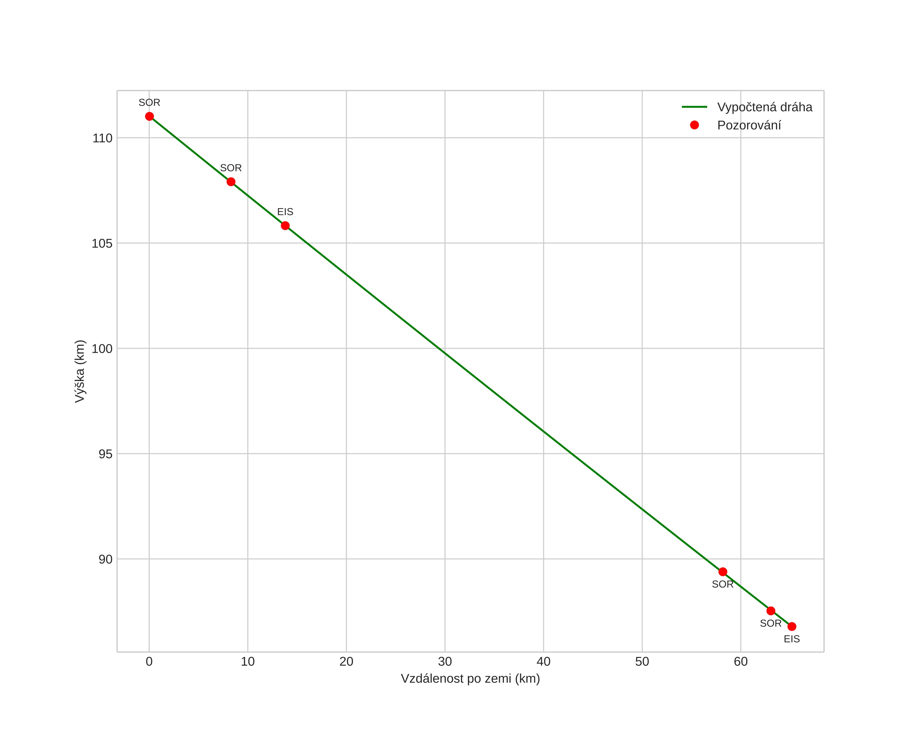
height profile
Atmosférická dráha meteoru:
Počáteční výška: 52,2 km
Konečná výška: 32,9 km
Počáteční poloha: 69,237N 17,058E
Konečná poloha: 69,696N 17,493E
Směr: 18,2°
Sklon: 19,7°
VstupnĂ­ rychlost: 25,0 km/s
Rektascenze radiantu: 06:03 (90,9°)
Deklinace radiantu: -4,5°
MeteorickĂ˝ roj: sporadickĂ˝
Elementy dráhy meteoroidu:
Vzdálenost v periheliu: 0,548 AU
Excentricita: 0,632
Sklon dráhy: 21,5°
Délka vzestupného uzlu: 80,4°
Argument perihelia: 98,3°
Střední anomálie: 333,0°
Epocha: 2023 DEC 13 00:42:34
orbit plot

NeinteraktivnĂ­ graf | InteraktivnĂ­ graf

position vs time
speed and acceleration