🇳🇴 🇬🇧 🇩🇪 🇨🇿 🇫🇮

Meteor Brøstadbotnin yllä 2023-12-13 00:42:34 UTC

KML-tiedosto  |  Interaktiivinen kartta

Kartta näyttää meteorin suuntahavainnot. Vaaleammat viivat näyttävät suunnat havaintoasemilta meteorin ilmestyessä, ja tummemmat viivat näyttävät, missä se viimeksi nähtiin. Sininen nuoli näyttää meteorin näkyvän lennon.

static map
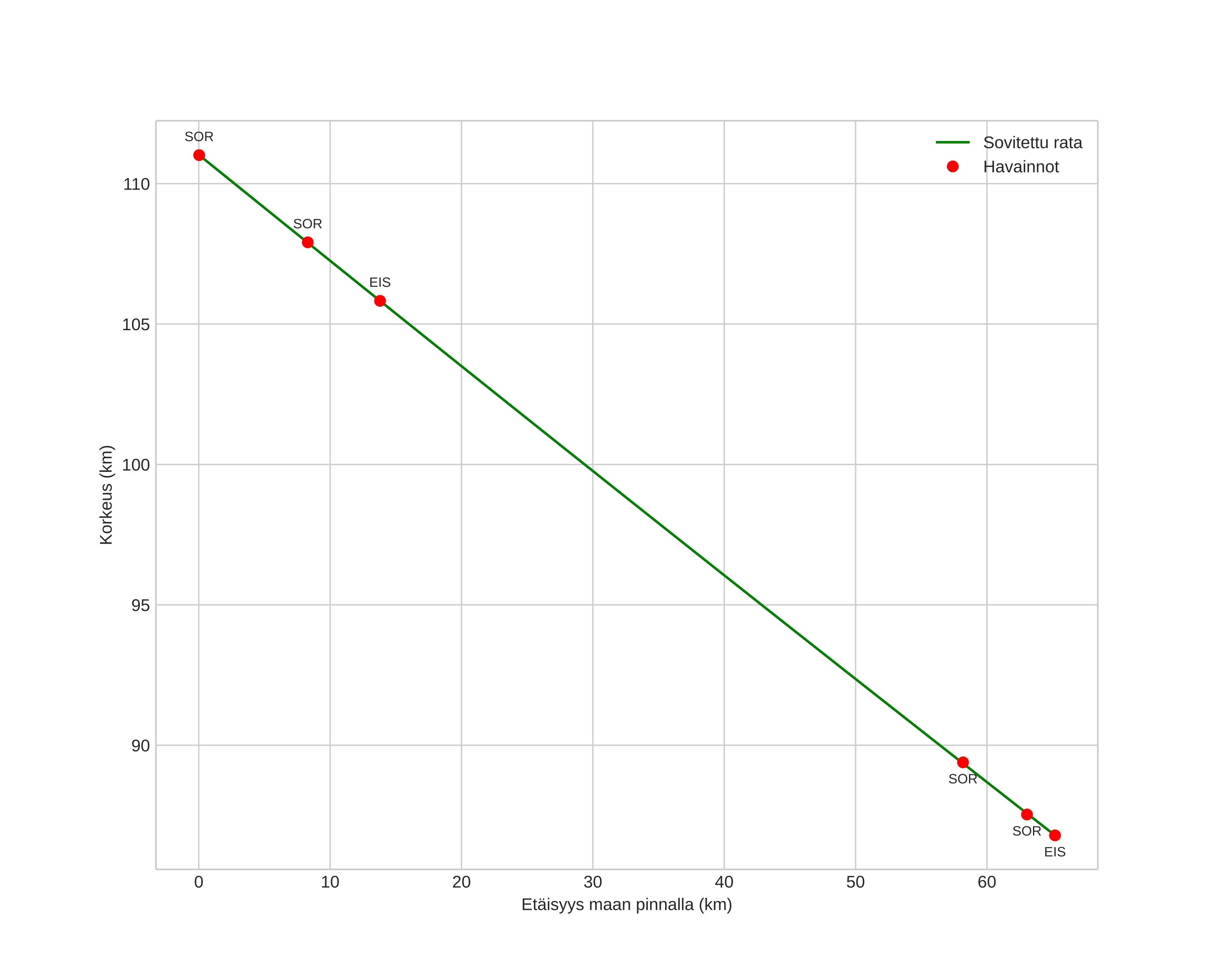
height profile
Meteorin ilmakehärata:
Alkukorkeus: 52,2 km
Loppukorkeus: 32,9 km
Alkupiste: 69,237N 17,058E
Loppupiste: 69,696N 17,493E
Suunta: 18,2°
Kallistuskulma: 19,7°
Tulonopeus: 25,0 km/s
Radiantin R,A,: 06:03 (90,9°)
Radiantin Dekl,: -4,5°
Meteoriparvi: Sporadinen
Meteoroidin rataelementit:
Perihelietäisyys: 0,548 AU
Eksentrisyys: 0,632
Inklinaatio: 21,5°
Nousevan solmun pituus: 80,4°
Perihelin argumentti: 98,3°
Keskianomalia: 333,0°
Epookki: 2023 DEC 13 00:42:34
orbit plot

Ei-interaktiivinen kuvaaja | Interaktiivinen kuvaaja

position vs time
speed and acceleration