🇳🇴 🇬🇧 🇩🇪 🇨🇿 🇫🇮

Meteor, poloha: Kiruna 2023-12-13 01:25:40 UTC

Soubor KML  |  InteraktivnĂ­ mapa

Mapa zobrazuje dráhy meteoru. Světlejší čáry ukazují směry od pozorovacích stanic při objevení se meteoru a tmavší čáry, kde byl naposledy viděn. Modrá šipka značí viditelnou dráhu meteoru.

static map
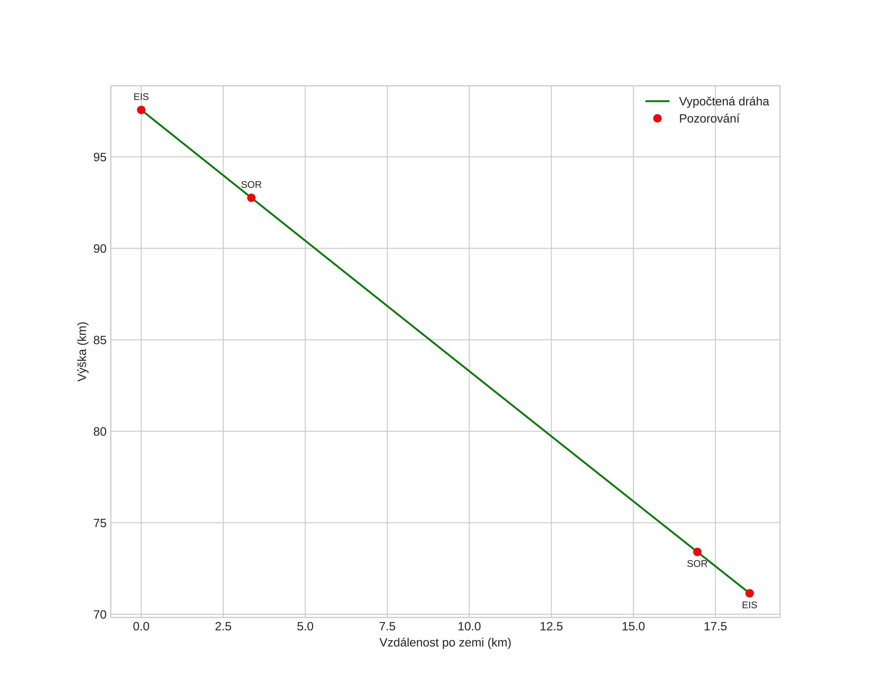
height profile
Atmosférická dráha meteoru:
Počáteční výška: 96,2 km
Konečná výška: 69,8 km
Počáteční poloha: 67,604N 19,753E
Konečná poloha: 67,776N 19,876E
Směr: 15,1°
Sklon: 53,1°
VstupnĂ­ rychlost: 39,3 km/s
Rektascenze radiantu: 07:25 (111,3°)
Deklinace radiantu: 30,4°
MeteorickĂ˝ roj: Geminidy
Elementy dráhy meteoroidu:
Vzdálenost v periheliu: 0,108 AU
Excentricita: 0,938
Sklon dráhy: 23,2°
Délka vzestupného uzlu: 260,4°
Argument perihelia: 327,1°
Střední anomálie: 345,1°
Epocha: 2023 DEC 13 01:25:40
orbit plot

NeinteraktivnĂ­ graf | InteraktivnĂ­ graf

position vs time
speed and acceleration