🇳🇴 🇬🇧 🇩🇪 🇨🇿 🇫🇮

Meteor über Kiruna 2023-12-13 01:25:40 UTC

KML-Datei  |  Interaktive Karte

Die Karte zeigt die Peilungen für den Meteor. Die helleren Linien zeigen die Richtungen von den Beobachtungsorten beim Erscheinen des Meteors, und die dunkleren Linien, wo er zuletzt gesehen wurde. Der blaue Pfeil zeigt die sichtbare Bahn des Meteors.

static map
height profile
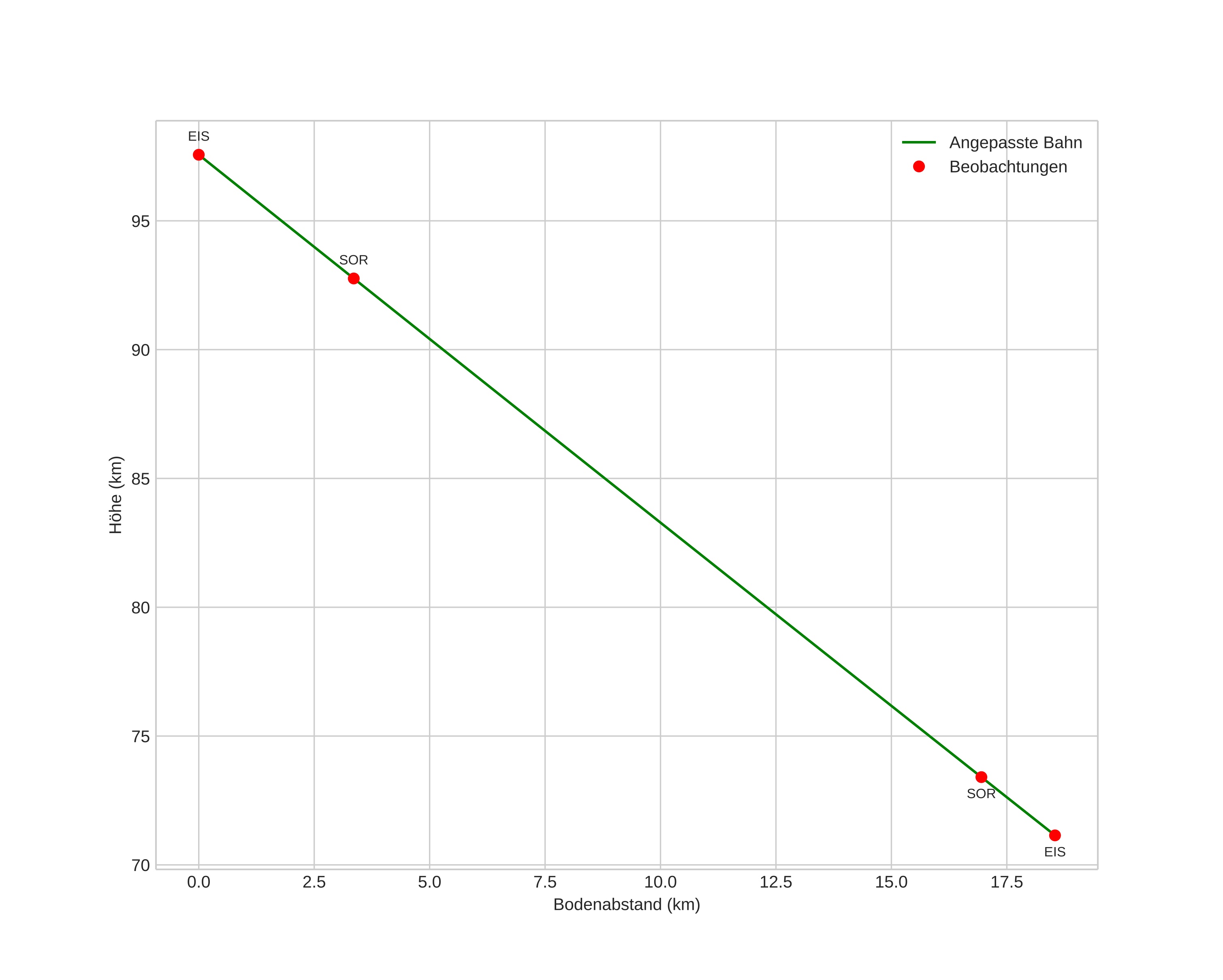
Atmosphärische Bahn des Meteors:
Anfangshöhe: 96,2 km
Endhöhe: 69,8 km
Startposition: 67,604N 19,753E
Endposition: 67,776N 19,876E
Richtung: 15,1°
Neigungswinkel: 53,1°
Eintrittsgeschwindigkeit: 39,3 km/s
Rektaszension des Radianten: 07:25 (111,3°)
Deklination des Radianten: 30,4°
Meteorstrom: Geminiden
Bahnelemente des Meteoroiden:
Periheldistanz: 0,108 AU
Exzentrizität: 0,938
Inklination: 23,2°
Länge des aufsteigenden Knotens: 260,4°
Argument des Perihels: 327,1°
Mittlere Anomalie: 345,1°
Epoche: 2023 DEC 13 01:25:40
orbit plot

Nicht-interaktives Diagramm | Interaktives Diagramm

position vs time
speed and acceleration