🇳🇴 🇬🇧 🇩🇪 🇨🇿 🇫🇮

Meteor, poloha: Røst 2023-12-13 04:29:26 UTC

Soubor KML  |  InteraktivnĂ­ mapa

Mapa zobrazuje dráhy meteoru. Světlejší čáry ukazují směry od pozorovacích stanic při objevení se meteoru a tmavší čáry, kde byl naposledy viděn. Modrá šipka značí viditelnou dráhu meteoru.

static map
height profile
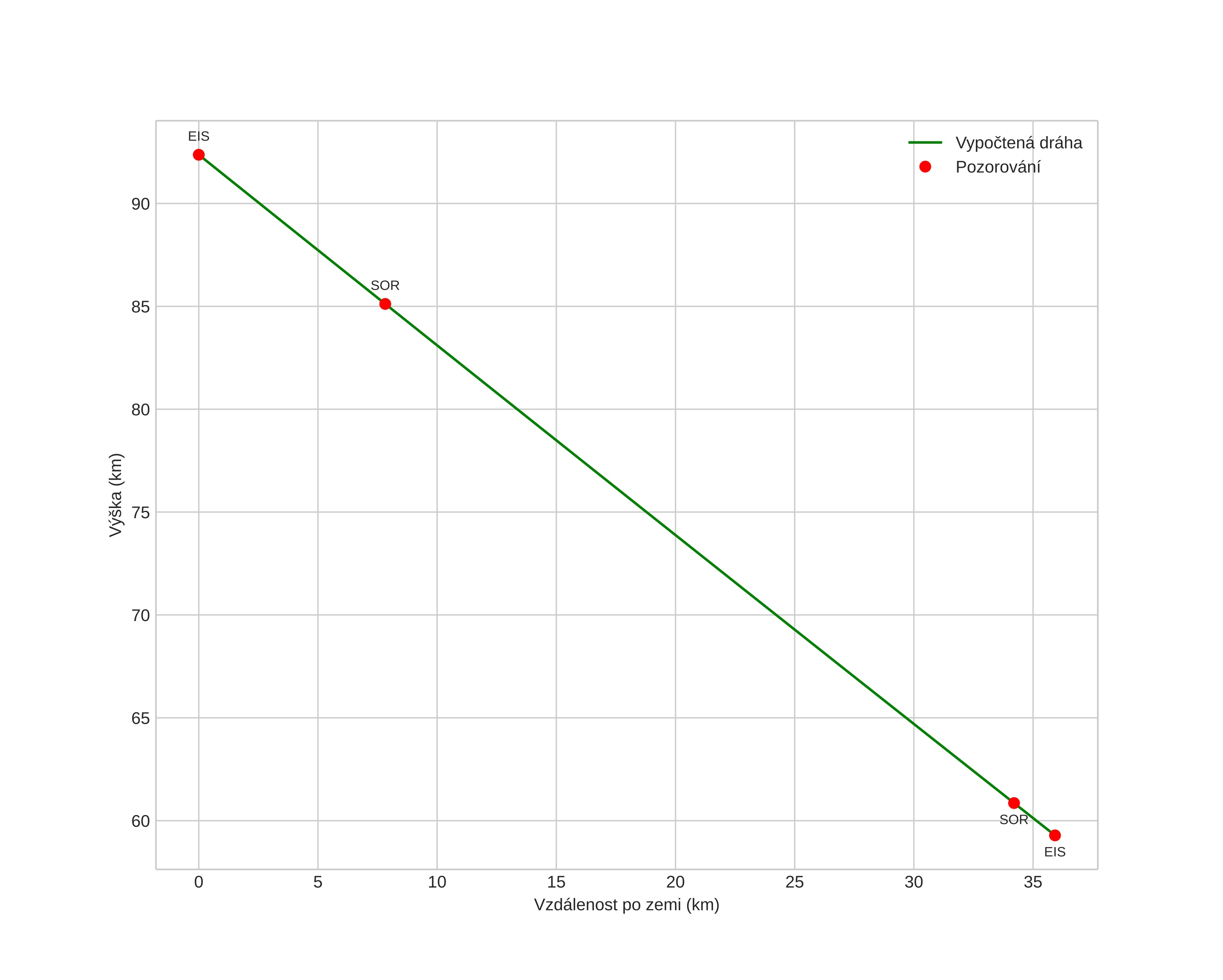
Atmosférická dráha meteoru:
Počáteční výška: 95,6 km
Konečná výška: 65,0 km
Počáteční poloha: 67,338N 11,581E
Konečná poloha: 67,353N 11,891E
Směr: 83,1°
Sklon: 66,4°
VstupnĂ­ rychlost: 26,5 km/s
Rektascenze radiantu: 07:33 (113,3°)
Deklinace radiantu: 54,6°
MeteorickĂ˝ roj: sporadickĂ˝
Elementy dráhy meteoroidu:
Vzdálenost v periheliu: 0,433 AU
Excentricita: 0,599
Sklon dráhy: 31,0°
Délka vzestupného uzlu: 260,6°
Argument perihelia: 299,6°
Střední anomálie: 312,6°
Epocha: 2023 DEC 13 04:29:26
orbit plot

NeinteraktivnĂ­ graf | InteraktivnĂ­ graf

position vs time
speed and acceleration