🇳🇴 🇬🇧 🇩🇪 🇨🇿 🇫🇮

Meteor Røstin yllä 2023-12-13 04:29:26 UTC

KML-tiedosto  |  Interaktiivinen kartta

Kartta näyttää meteorin suuntahavainnot. Vaaleammat viivat näyttävät suunnat havaintoasemilta meteorin ilmestyessä, ja tummemmat viivat näyttävät, missä se viimeksi nähtiin. Sininen nuoli näyttää meteorin näkyvän lennon.

static map
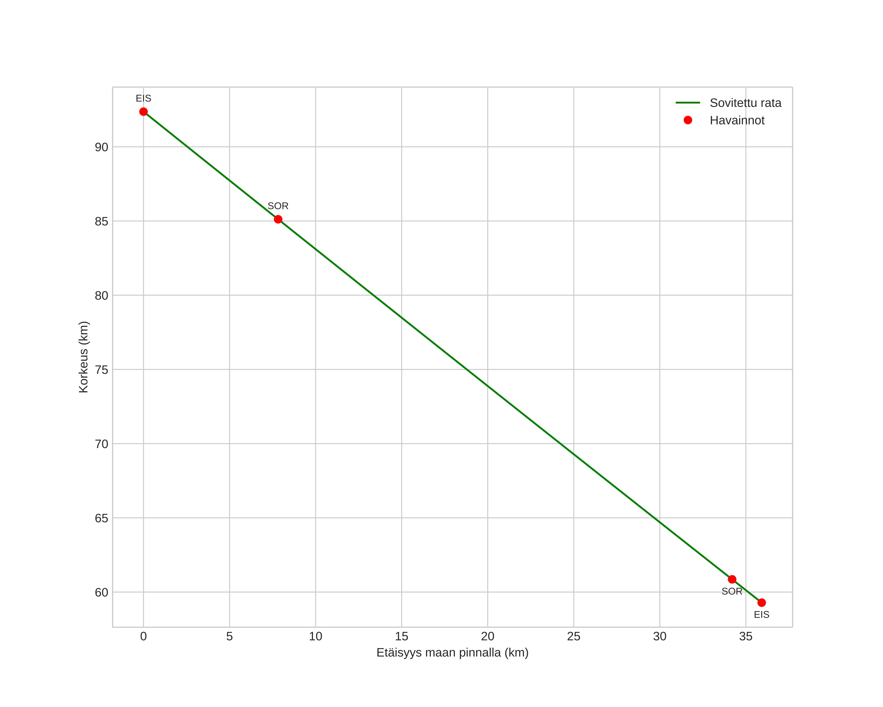
height profile
Meteorin ilmakehärata:
Alkukorkeus: 95,6 km
Loppukorkeus: 65,0 km
Alkupiste: 67,338N 11,581E
Loppupiste: 67,353N 11,891E
Suunta: 83,1°
Kallistuskulma: 66,4°
Tulonopeus: 26,5 km/s
Radiantin R,A,: 07:33 (113,3°)
Radiantin Dekl,: 54,6°
Meteoriparvi: Sporadinen
Meteoroidin rataelementit:
Perihelietäisyys: 0,433 AU
Eksentrisyys: 0,599
Inklinaatio: 31,0°
Nousevan solmun pituus: 260,6°
Perihelin argumentti: 299,6°
Keskianomalia: 312,6°
Epookki: 2023 DEC 13 04:29:26
orbit plot

Ei-interaktiivinen kuvaaja | Interaktiivinen kuvaaja

position vs time
speed and acceleration