🇳🇴 🇬🇧 🇩🇪 🇨🇿 🇫🇮

Meteor, poloha: Lyngseidet 2023-12-13 04:46:03 UTC

Soubor KML  |  InteraktivnĂ­ mapa

Mapa zobrazuje dráhy meteoru. Světlejší čáry ukazují směry od pozorovacích stanic při objevení se meteoru a tmavší čáry, kde byl naposledy viděn. Modrá šipka značí viditelnou dráhu meteoru.

static map
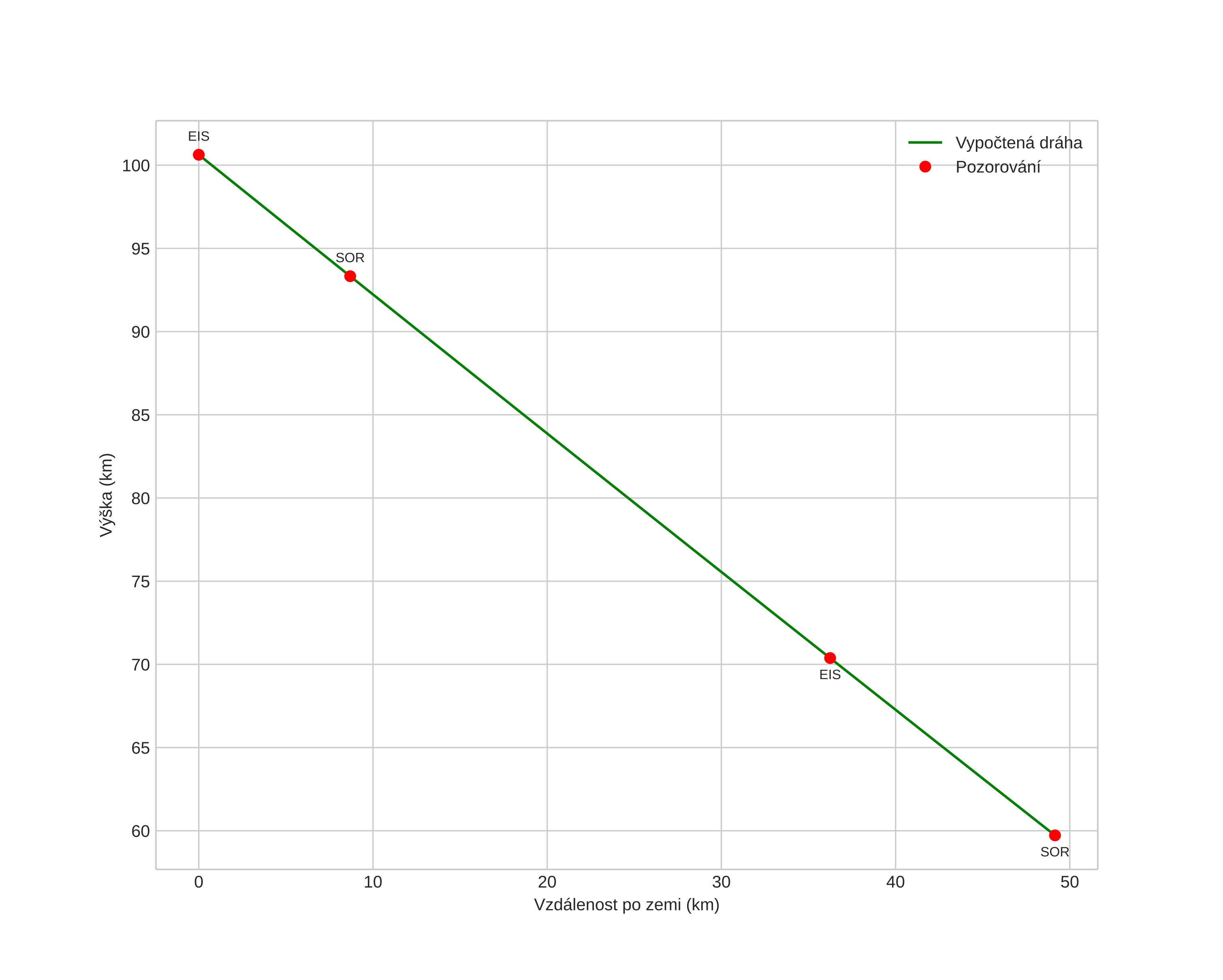
height profile
Atmosférická dráha meteoru:
Počáteční výška: 100,7 km
Konečná výška: 59,9 km
Počáteční poloha: 69,716N 19,120E
Konečná poloha: 69,850N 20,349E
Směr: 71,8°
Sklon: 39,5°
VstupnĂ­ rychlost: 36,9 km/s
Rektascenze radiantu: 07:29 (112,5°)
Deklinace radiantu: 29,6°
MeteorickĂ˝ roj: Geminidy
Elementy dráhy meteoroidu:
Vzdálenost v periheliu: 0,113 AU
Excentricita: 0,917
Sklon dráhy: 19,6°
Délka vzestupného uzlu: 260,6°
Argument perihelia: 328,4°
Střední anomálie: 337,5°
Epocha: 2023 DEC 13 04:46:03
orbit plot

NeinteraktivnĂ­ graf | InteraktivnĂ­ graf

position vs time
speed and acceleration