🇳🇴 🇬🇧 🇩🇪 🇨🇿 🇫🇮

Meteor Lyngseidetin yllä 2023-12-13 04:46:03 UTC

KML-tiedosto  |  Interaktiivinen kartta

Kartta näyttää meteorin suuntahavainnot. Vaaleammat viivat näyttävät suunnat havaintoasemilta meteorin ilmestyessä, ja tummemmat viivat näyttävät, missä se viimeksi nähtiin. Sininen nuoli näyttää meteorin näkyvän lennon.

static map
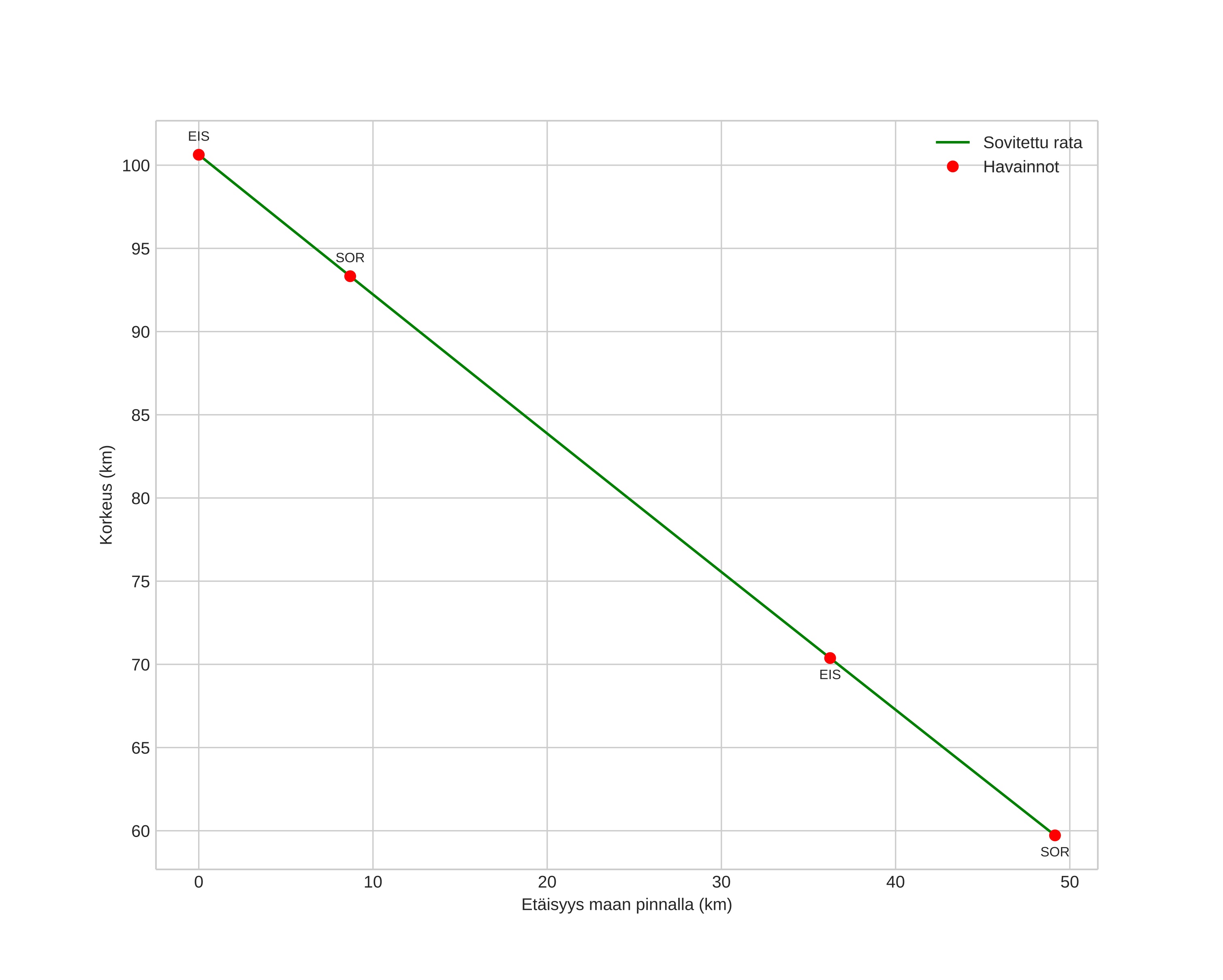
height profile
Meteorin ilmakehärata:
Alkukorkeus: 100,7 km
Loppukorkeus: 59,9 km
Alkupiste: 69,716N 19,120E
Loppupiste: 69,850N 20,349E
Suunta: 71,8°
Kallistuskulma: 39,5°
Tulonopeus: 36,9 km/s
Radiantin R,A,: 07:29 (112,5°)
Radiantin Dekl,: 29,6°
Meteoriparvi: Geminidit
Meteoroidin rataelementit:
Perihelietäisyys: 0,113 AU
Eksentrisyys: 0,917
Inklinaatio: 19,6°
Nousevan solmun pituus: 260,6°
Perihelin argumentti: 328,4°
Keskianomalia: 337,5°
Epookki: 2023 DEC 13 04:46:03
orbit plot

Ei-interaktiivinen kuvaaja | Interaktiivinen kuvaaja

position vs time
speed and acceleration