🇳🇴 🇬🇧 🇩🇪 🇨🇿 🇫🇮

Meteor, poloha: Kiruna 2023-12-13 16:52:36 UTC

Eiscat – 1
Eiscat – 1
Skibotn – 2
Skibotn – 2
Sørreisa – 1
Sørreisa – 1

Soubor KML  | Interaktivní mapa

map

Mapa zobrazuje dráhy meteoru. Světlejší čáry ukazují směry od pozorovacích stanic při objevení se meteoru a tmavší čáry, kde byl naposledy viděn. Modrá šipka značí viditelnou dráhu meteoru.

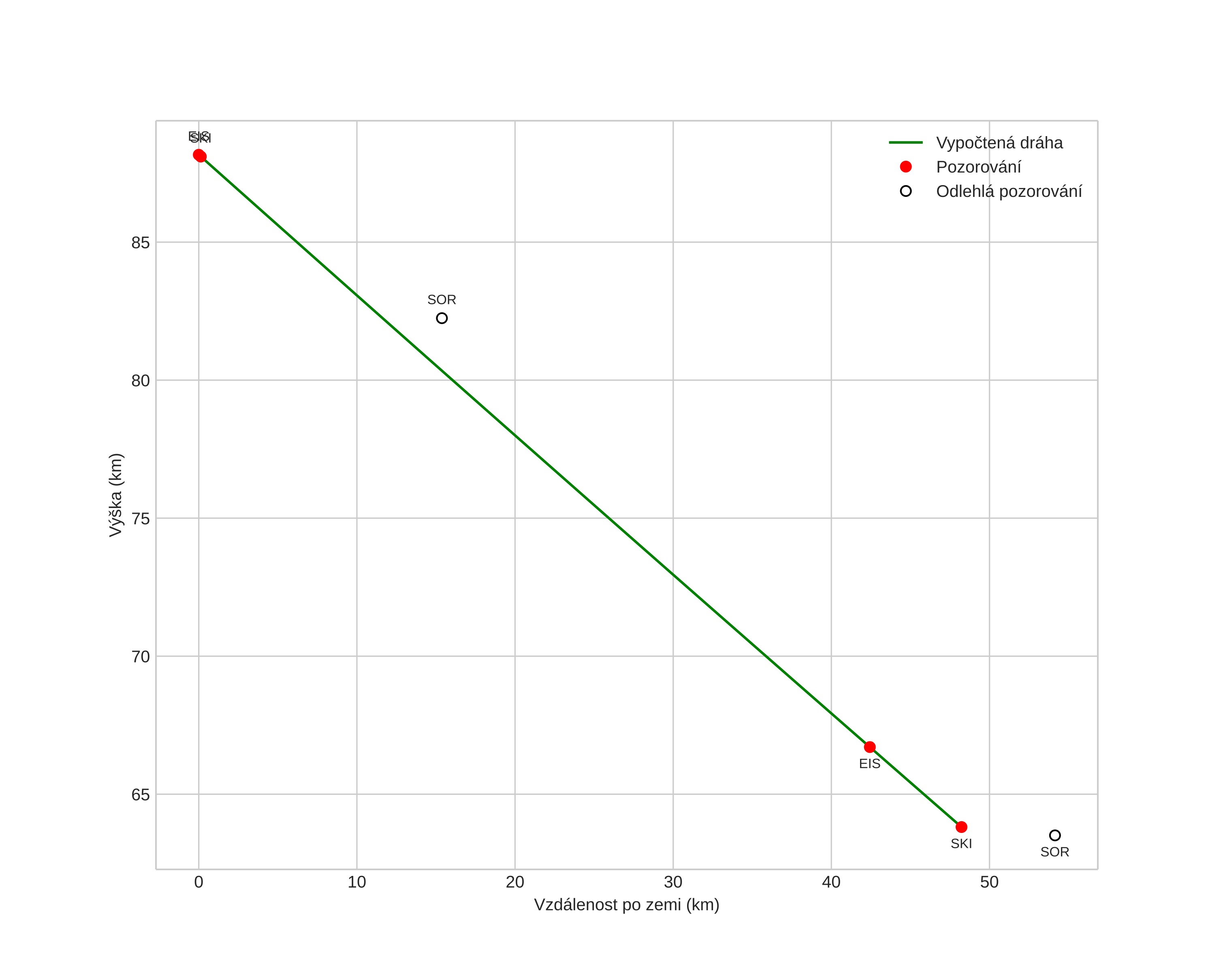
height profile
Atmosférická dráha meteoru:
Počáteční výška: 88,6 km
Konečná výška: 64,3 km
Počáteční poloha: 67,969N 20,027E
Konečná poloha: 67,742N 19,033E
Směr: 239,3°
Sklon: 26,5°
Vstupní rychlost: 32,8 km/s
Rektascenze radiantu: 06:57 (104,3°)
Deklinace radiantu: 34,0°
Meteorický roj: Geminidy
Elementy dráhy meteoroidu:
Vzdálenost v periheliu: 0,246 AU
Excentricita: 0,838
Sklon dráhy: 17,1°
Délka vzestupného uzlu: 261,1°
Argument perihelia: 310,2°
Střední anomálie: 338,4°
Epocha: 2023 DEC 13 16:52:36
orbit

Neinteraktivní graf | Interaktivní graf

position vs time
speed & acceleration