🇳🇴 🇬🇧 🇩🇪 🇨🇿 🇫🇮

Meteor über Kiruna 2023-12-13 16:52:36 UTC

Eiscat – 1
Eiscat – 1
Skibotn – 2
Skibotn – 2
Sørreisa – 1
Sørreisa – 1

KML-Datei  | Interaktive Karte

map

Die Karte zeigt die Peilungen für den Meteor. Die helleren Linien zeigen die Richtungen von den Beobachtungsorten beim Erscheinen des Meteors, und die dunkleren Linien, wo er zuletzt gesehen wurde. Der blaue Pfeil zeigt die sichtbare Bahn des Meteors.

height profile
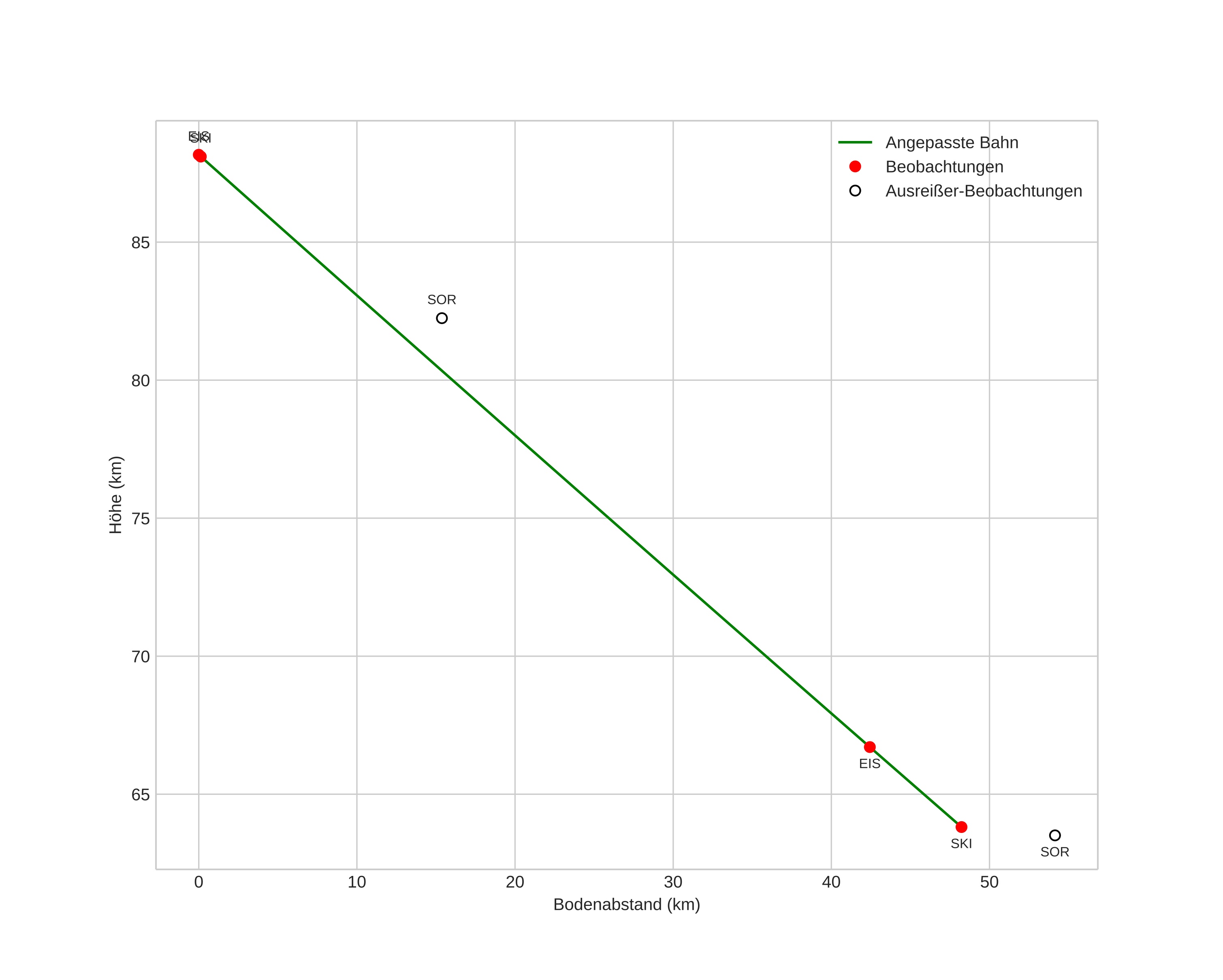
Atmosphärische Bahn des Meteors:
Anfangshöhe: 88,6 km
Endhöhe: 64,3 km
Startposition: 67,969N 20,027E
Endposition: 67,742N 19,033E
Richtung: 239,3°
Neigungswinkel: 26,5°
Eintrittsgeschwindigkeit: 32,8 km/s
Rektaszension des Radianten: 06:57 (104,3°)
Deklination des Radianten: 34,0°
Meteorstrom: Geminiden
Bahnelemente des Meteoroiden:
Periheldistanz: 0,246 AU
Exzentrizität: 0,838
Inklination: 17,1°
Länge des aufsteigenden Knotens: 261,1°
Argument des Perihels: 310,2°
Mittlere Anomalie: 338,4°
Epoche: 2023 DEC 13 16:52:36
orbit

Nicht-interaktives Diagramm | Interaktives Diagramm

position vs time
speed & acceleration