🇳🇴 🇬🇧 🇩🇪 🇨🇿 🇫🇮

Meteor, poloha: Reinsvoll 2023-12-13 20:04:50 UTC

Soubor KML  |  InteraktivnĂ­ mapa

Mapa zobrazuje dráhy meteoru. Světlejší čáry ukazují směry od pozorovacích stanic při objevení se meteoru a tmavší čáry, kde byl naposledy viděn. Modrá šipka značí viditelnou dráhu meteoru.

static map
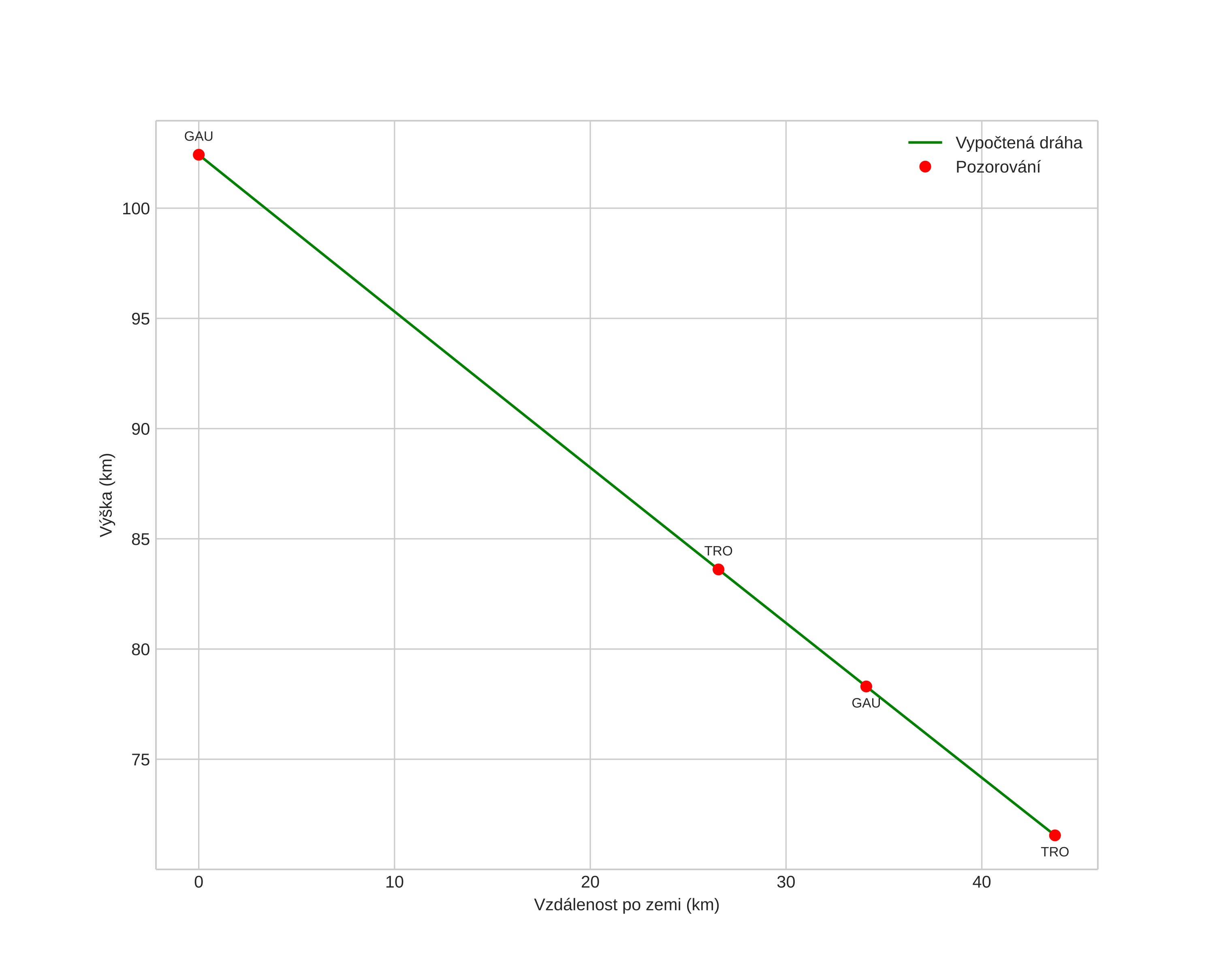
height profile
Atmosférická dráha meteoru:
Počáteční výška: 99,7 km
Konečná výška: 69,7 km
Počáteční poloha: 60,698N 11,338E
Konečná poloha: 60,637N 10,541E
Směr: 261,4°
Sklon: 34,3°
VstupnĂ­ rychlost: 37,7 km/s
Rektascenze radiantu: 07:33 (113,5°)
Deklinace radiantu: 32,6°
MeteorickĂ˝ roj: Geminidy
Elementy dráhy meteoroidu:
Vzdálenost v periheliu: 0,127 AU
Excentricita: 0,912
Sklon dráhy: 26,7°
Délka vzestupného uzlu: 261,2°
Argument perihelia: 325,7°
Střední anomálie: 339,5°
Epocha: 2023 DEC 13 20:04:50
orbit plot

NeinteraktivnĂ­ graf | InteraktivnĂ­ graf

position vs time
speed and acceleration