🇳🇴 🇬🇧 🇩🇪 🇨🇿 🇫🇮

Meteor Reinsvollin yllä 2023-12-13 20:04:50 UTC

KML-tiedosto

Kartta näyttää meteorin suuntahavainnot. Vaaleammat viivat näyttävät suunnat havaintoasemilta meteorin ilmestyessä, ja tummemmat viivat näyttävät, missä se viimeksi nähtiin. Sininen nuoli näyttää meteorin näkyvän lennon.

static map
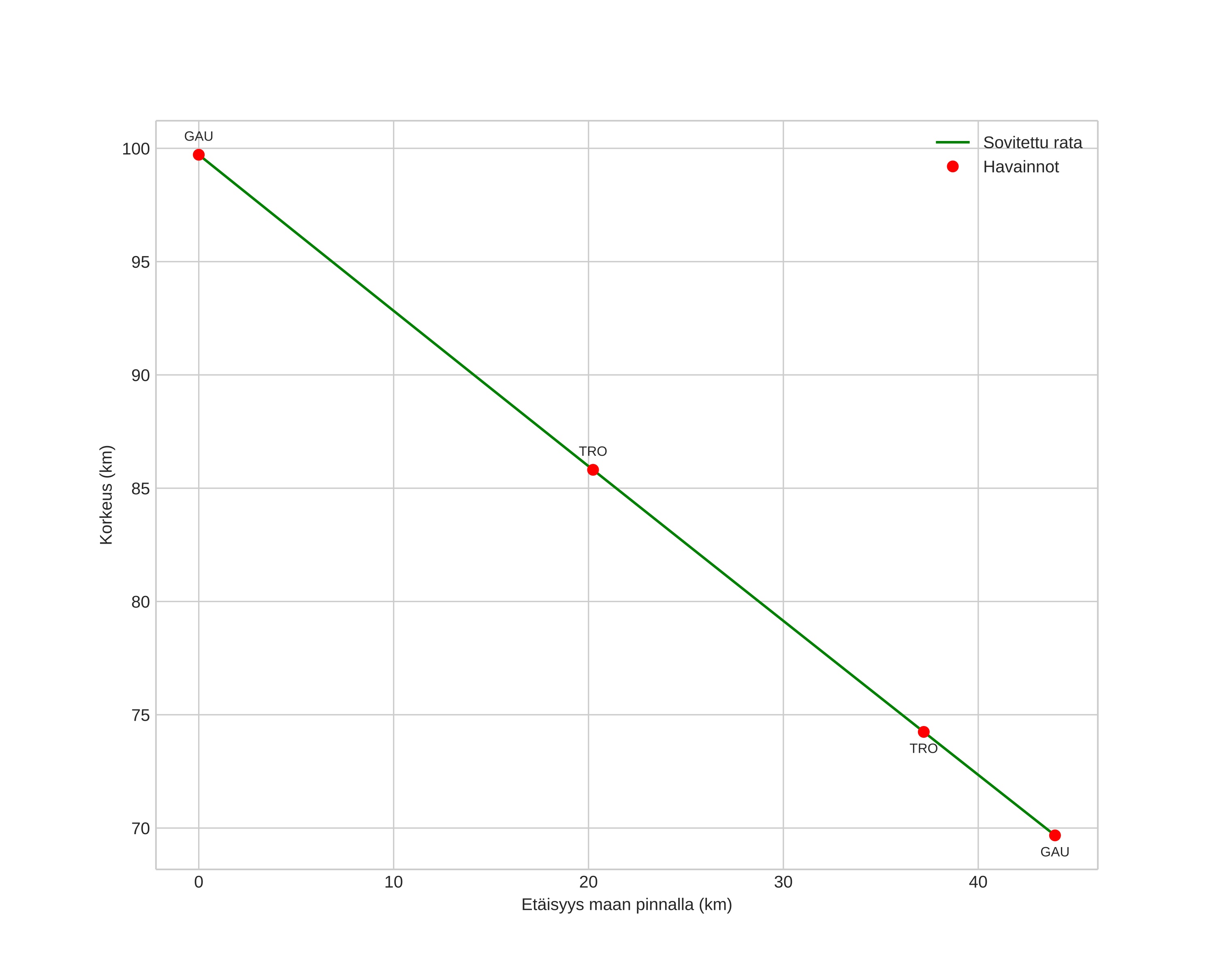
height profile
Meteorens atmosfæriske bane:
Starthøgde: 98,0 km
Slutthøgde: 72,4 km
Startposisjon: 60,693N 11,292E
Sluttposisjon: 60,659N 10,610E
Retning: 264,5°
Fallvinkel: 34,4°
Inngangshastighet: 34,0 km/s
Radiantens rektascensjon: 07:24 (111,1°)
Radiantens deklinasjon: 30,9°
Meteorsverm: geminidene
Meteoroidens baneelement:
Perihelavstand: 0,163 AU
Eksentrisitet: 0,867
Inklinasjon: 17,0°
Knutelengde: 261,2°
Perihelargument: 322,8°
Midlere anomali: 331,6°
Epoke: 2023 DEC 13 20:04:50
orbit plot

Ei-interaktiivinen kuvaaja

position vs time
speed and acceleration

Gaustatoppen (GAU) cam2


gnomonic
Videoer
• Gnomonisk
• Gnomonisk med koordinater
• Original
• Original med koordinater
Bilder
• Gnomonisk
• Gnomonisk med koordinater
• Ukorrigert gnomonisk med koordinater
• Gnomonisk med annotering
• Ukorrigert gnomonisk med annotering
• Original
• Original med koordinater
Tekstfiler
• Deteksjon
• Observasjon
• Koordinater
• Feilmeldinger