🇳🇴 🇬🇧 🇩🇪 🇨🇿 🇫🇮

Meteor, poloha: Ramberg 2023-12-13 20:49:31 UTC

Soubor KML  |  InteraktivnĂ­ mapa

Mapa zobrazuje dráhy meteoru. Světlejší čáry ukazují směry od pozorovacích stanic při objevení se meteoru a tmavší čáry, kde byl naposledy viděn. Modrá šipka značí viditelnou dráhu meteoru.

static map
height profile
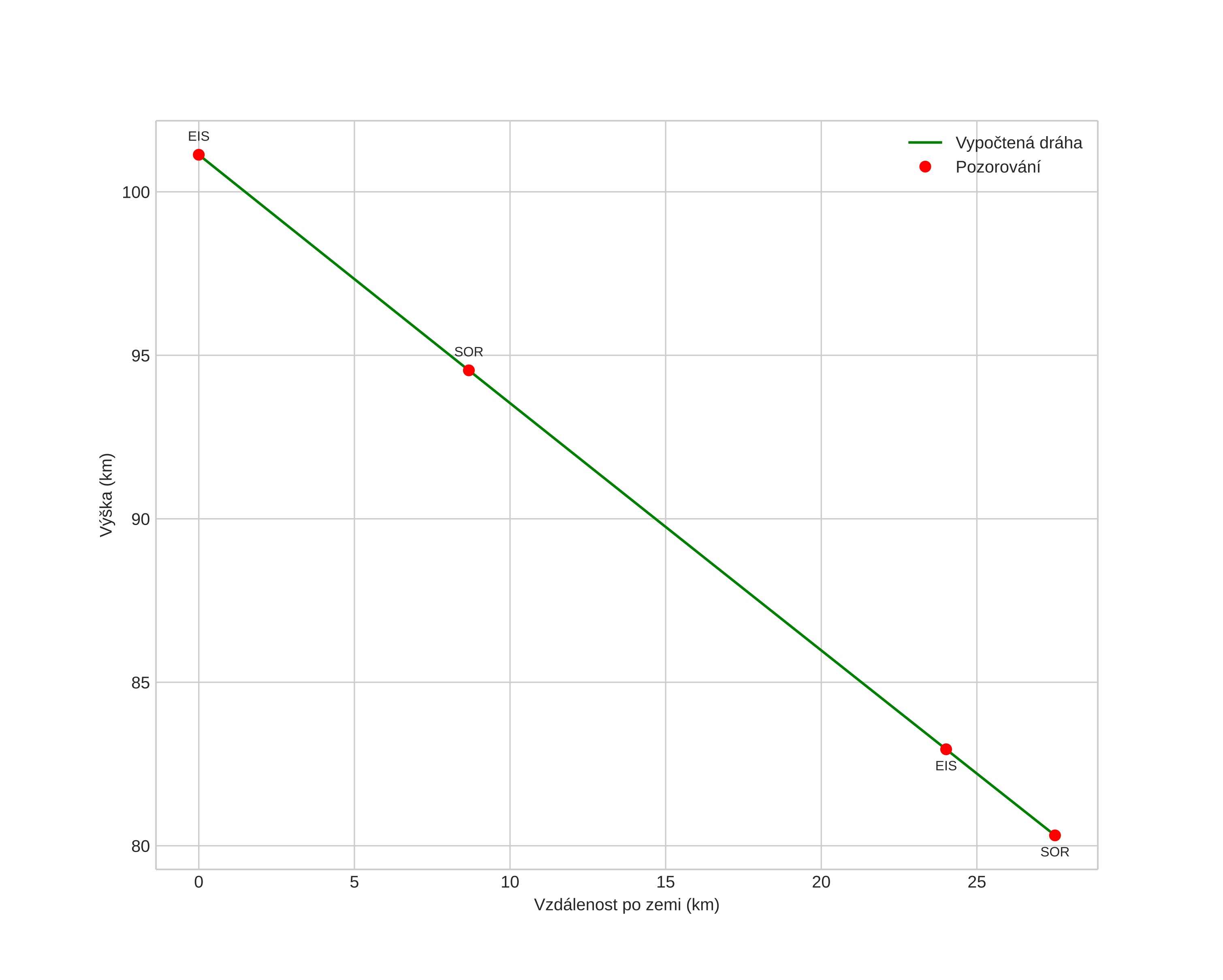
Atmosférická dráha meteoru:
Počáteční výška: 97,5 km
Konečná výška: 78,6 km
Počáteční poloha: 69,132N 12,906E
Konečná poloha: 69,166N 12,402E
Směr: 280,8°
Sklon: 43,0°
VstupnĂ­ rychlost: 37,6 km/s
Rektascenze radiantu: 07:20 (110,2°)
Deklinace radiantu: 35,1°
MeteorickĂ˝ roj: Geminidy
Elementy dráhy meteoroidu:
Vzdálenost v periheliu: 0,169 AU
Excentricita: 0,904
Sklon dráhy: 27,7°
Délka vzestupného uzlu: 261,2°
Argument perihelia: 318,2°
Střední anomálie: 344,4°
Epocha: 2023 DEC 13 20:49:31
orbit plot

NeinteraktivnĂ­ graf | InteraktivnĂ­ graf

position vs time
speed and acceleration