🇳🇴 🇬🇧 🇩🇪 🇨🇿 🇫🇮

Meteor Rambergin yllä 2023-12-13 20:49:31 UTC

KML-tiedosto  |  Interaktiivinen kartta

Kartta näyttää meteorin suuntahavainnot. Vaaleammat viivat näyttävät suunnat havaintoasemilta meteorin ilmestyessä, ja tummemmat viivat näyttävät, missä se viimeksi nähtiin. Sininen nuoli näyttää meteorin näkyvän lennon.

static map
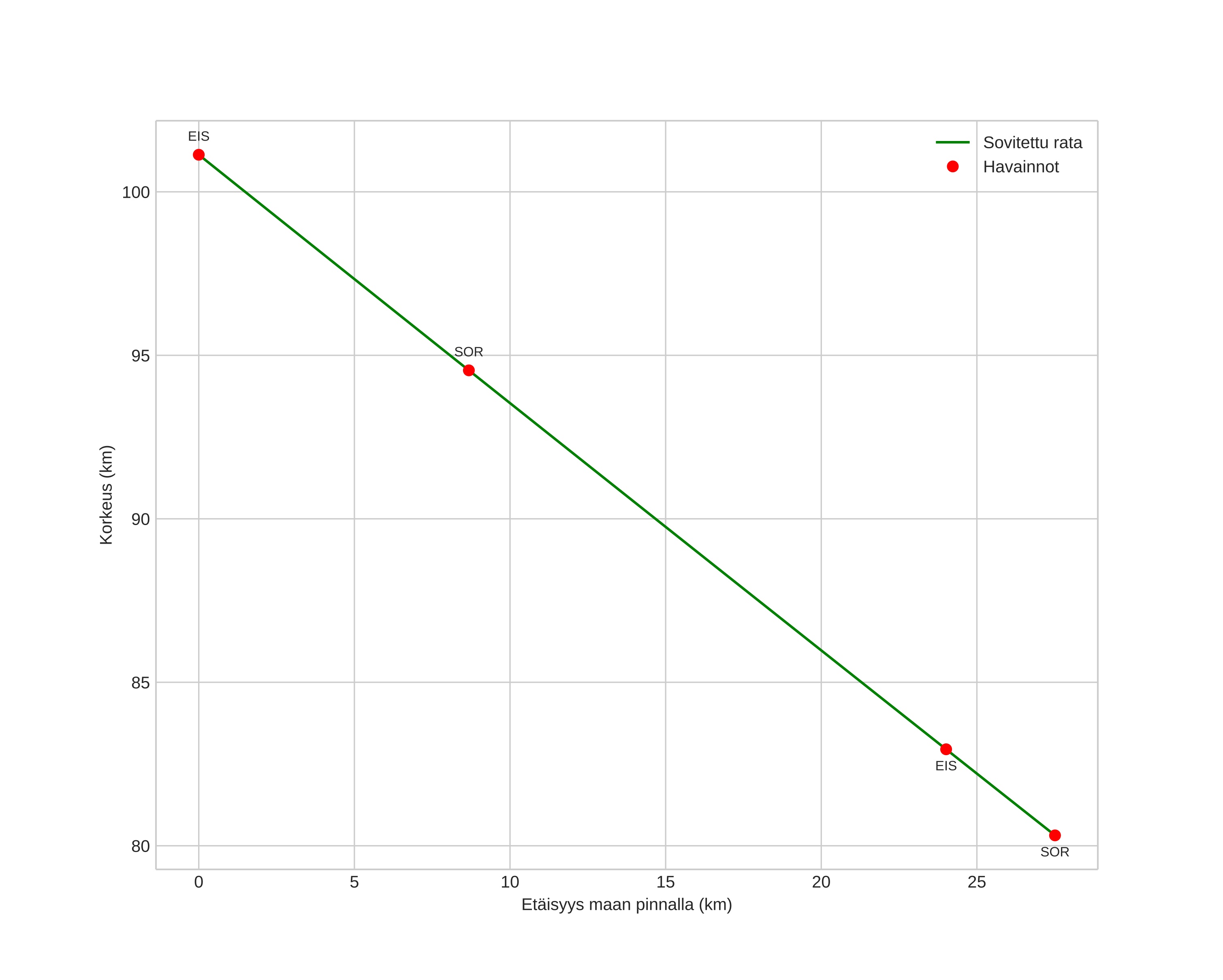
height profile
Meteorin ilmakehärata:
Alkukorkeus: 97,5 km
Loppukorkeus: 78,6 km
Alkupiste: 69,132N 12,906E
Loppupiste: 69,166N 12,402E
Suunta: 280,8°
Kallistuskulma: 43,0°
Tulonopeus: 37,6 km/s
Radiantin R,A,: 07:20 (110,2°)
Radiantin Dekl,: 35,1°
Meteoriparvi: Geminidit
Meteoroidin rataelementit:
Perihelietäisyys: 0,169 AU
Eksentrisyys: 0,904
Inklinaatio: 27,7°
Nousevan solmun pituus: 261,2°
Perihelin argumentti: 318,2°
Keskianomalia: 344,4°
Epookki: 2023 DEC 13 20:49:31
orbit plot

Ei-interaktiivinen kuvaaja | Interaktiivinen kuvaaja

position vs time
speed and acceleration