🇳🇴 🇬🇧 🇩🇪 🇨🇿 🇫🇮

Meteor, poloha: Hatteng 2023-12-13 20:53:55 UTC

Soubor KML  |  InteraktivnĂ­ mapa

Mapa zobrazuje dráhy meteoru. Světlejší čáry ukazují směry od pozorovacích stanic při objevení se meteoru a tmavší čáry, kde byl naposledy viděn. Modrá šipka značí viditelnou dráhu meteoru.

static map
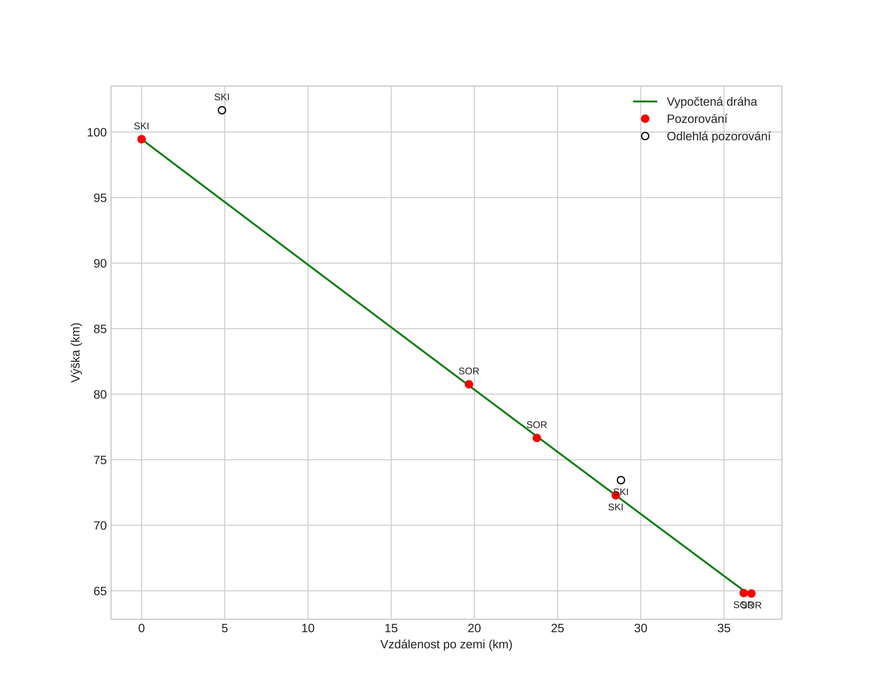
height profile
Atmosférická dráha meteoru:
Počáteční výška: 99,6 km
Konečná výška: 64,5 km
Počáteční poloha: 69,055N 21,007E
Konečná poloha: 69,185N 20,144E
Směr: 293,4°
Sklon: 43,4°
VstupnĂ­ rychlost: 47,7 km/s
Rektascenze radiantu: 07:14 (108,7°)
Deklinace radiantu: 32,0°
MeteorickĂ˝ roj: sporadickĂ˝
Elementy dráhy meteoroidu:
Vzdálenost v periheliu: 0,100 AU
Excentricita: 1,013
Sklon dráhy: 34,9°
Délka vzestupného uzlu: 261,2°
Argument perihelia: 321,8°
Střední anomálie: -1,4°
Epocha: 2023 DEC 13 20:53:55
orbit plot

NeinteraktivnĂ­ graf | InteraktivnĂ­ graf

position vs time
speed and acceleration