🇳🇴 🇬🇧 🇩🇪 🇨🇿 🇫🇮

Meteor Hattengin yllä 2023-12-13 20:53:55 UTC

KML-tiedosto  |  Interaktiivinen kartta

Kartta näyttää meteorin suuntahavainnot. Vaaleammat viivat näyttävät suunnat havaintoasemilta meteorin ilmestyessä, ja tummemmat viivat näyttävät, missä se viimeksi nähtiin. Sininen nuoli näyttää meteorin näkyvän lennon.

static map
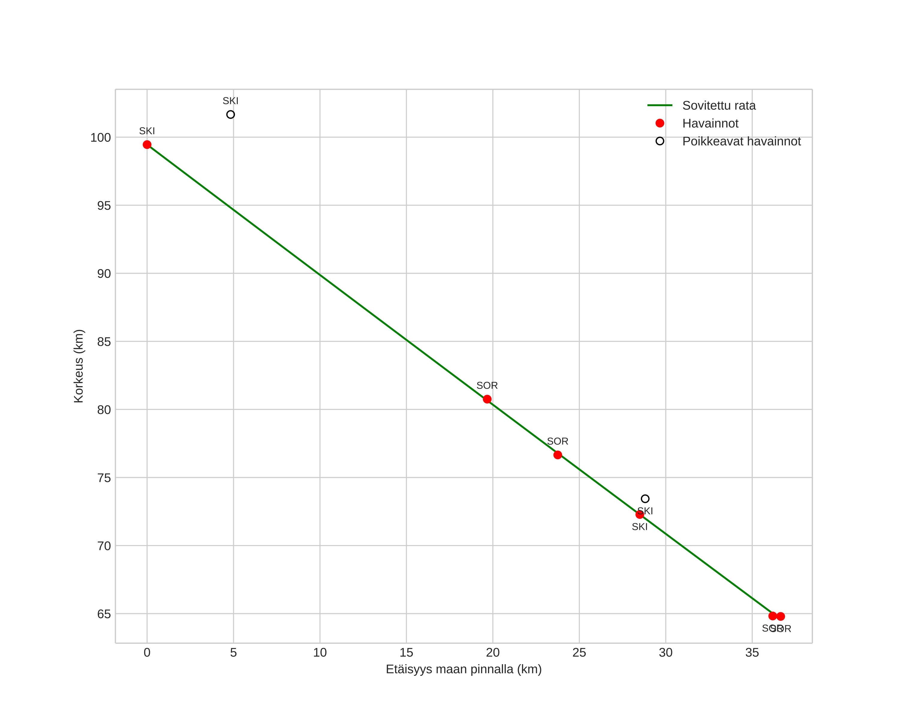
height profile
Meteorin ilmakehärata:
Alkukorkeus: 99,6 km
Loppukorkeus: 64,5 km
Alkupiste: 69,055N 21,007E
Loppupiste: 69,185N 20,144E
Suunta: 293,4°
Kallistuskulma: 43,4°
Tulonopeus: 47,7 km/s
Radiantin R,A,: 07:14 (108,7°)
Radiantin Dekl,: 32,0°
Meteoriparvi: Sporadinen
Meteoroidin rataelementit:
Perihelietäisyys: 0,100 AU
Eksentrisyys: 1,013
Inklinaatio: 34,9°
Nousevan solmun pituus: 261,2°
Perihelin argumentti: 321,8°
Keskianomalia: -1,4°
Epookki: 2023 DEC 13 20:53:55
orbit plot

Ei-interaktiivinen kuvaaja | Interaktiivinen kuvaaja

position vs time
speed and acceleration