🇳🇴 🇬🇧 🇩🇪 🇨🇿 🇫🇮

Meteor, poloha: Hammerfest 2023-12-13 22:51:39 UTC

Eiscat 4
Eiscat 4
Sorreisa 2
Sorreisa 2

Soubor KML  | Interaktivní mapa

map

Mapa zobrazuje dráhy meteoru. Světlejší čáry ukazují směry od pozorovacích stanic při objevení se meteoru a tmavší čáry, kde byl naposledy viděn. Modrá šipka značí viditelnou dráhu meteoru.

height profile
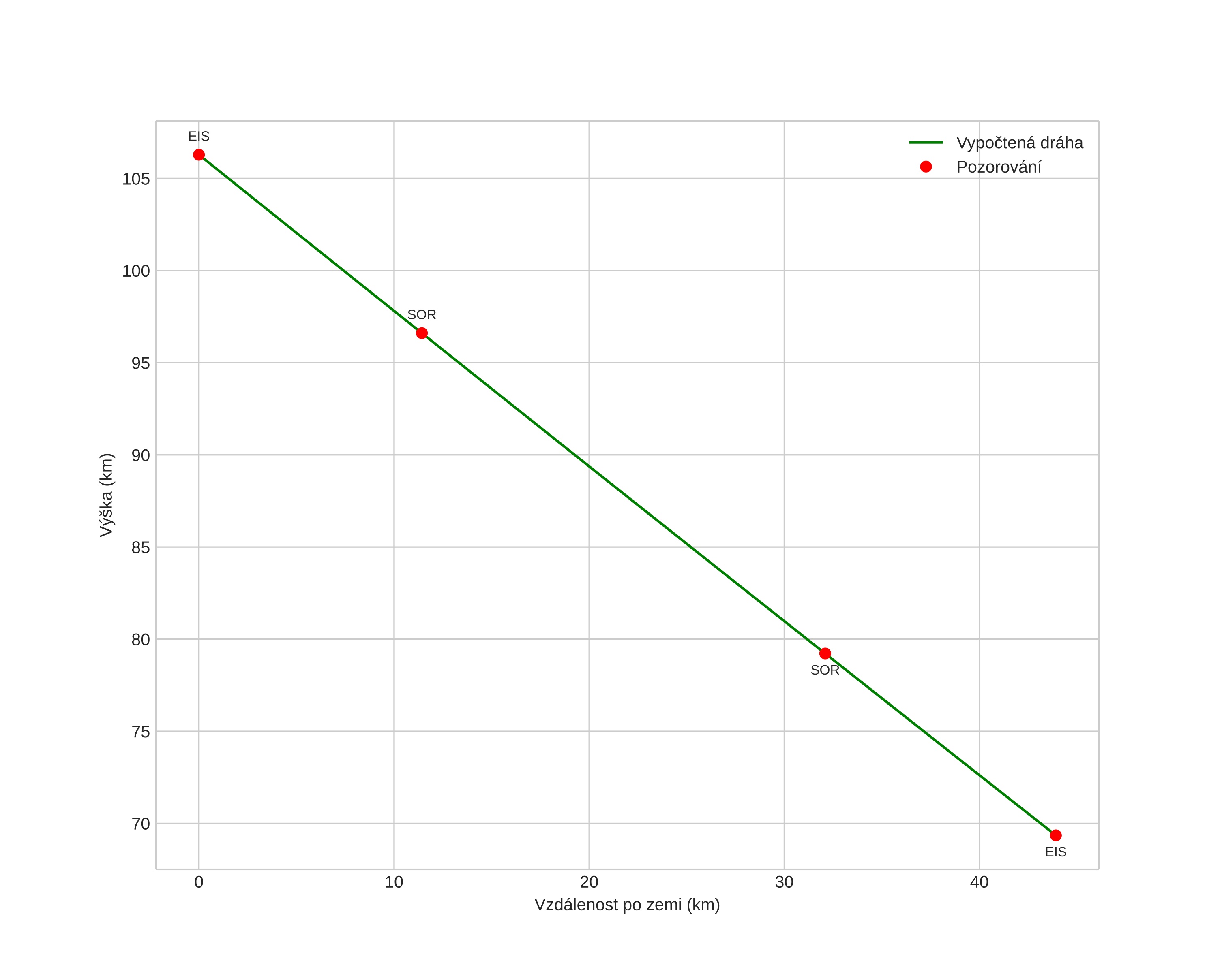
Atmosférická dráha meteoru:
Počáteční výška: 104,4 km
Konečná výška: 67,2 km
Počáteční poloha: 71,330N 23,387E
Konečná poloha: 71,677N 23,077E
Směr: 344,3°
Sklon: 42,9°
Vstupní rychlost: 39,2 km/s
Rektascenze radiantu: 06:42 (100,7°)
Deklinace radiantu: 23,7°
Meteorický roj: sporadický
Elementy dráhy meteoroidu:
Vzdálenost v periheliu: 0,189 AU
Excentricita: 0,961
Sklon dráhy: 1,3°
Délka vzestupného uzlu: 261,2°
Argument perihelia: 310,6°
Střední anomálie: 356,8°
Epocha: 2023 DEC 13 22:51:39
orbit

Neinteraktivní graf | Interaktivní graf

position vs time
speed & acceleration