🇳🇴 🇬🇧 🇩🇪 🇨🇿 🇫🇮

Meteor über Hammerfest 2023-12-13 22:51:39 UTC

Eiscat 4
Eiscat 4
Sorreisa 2
Sorreisa 2

KML-Datei  | Interaktive Karte

map

Die Karte zeigt die Peilungen für den Meteor. Die helleren Linien zeigen die Richtungen von den Beobachtungsorten beim Erscheinen des Meteors, und die dunkleren Linien, wo er zuletzt gesehen wurde. Der blaue Pfeil zeigt die sichtbare Bahn des Meteors.

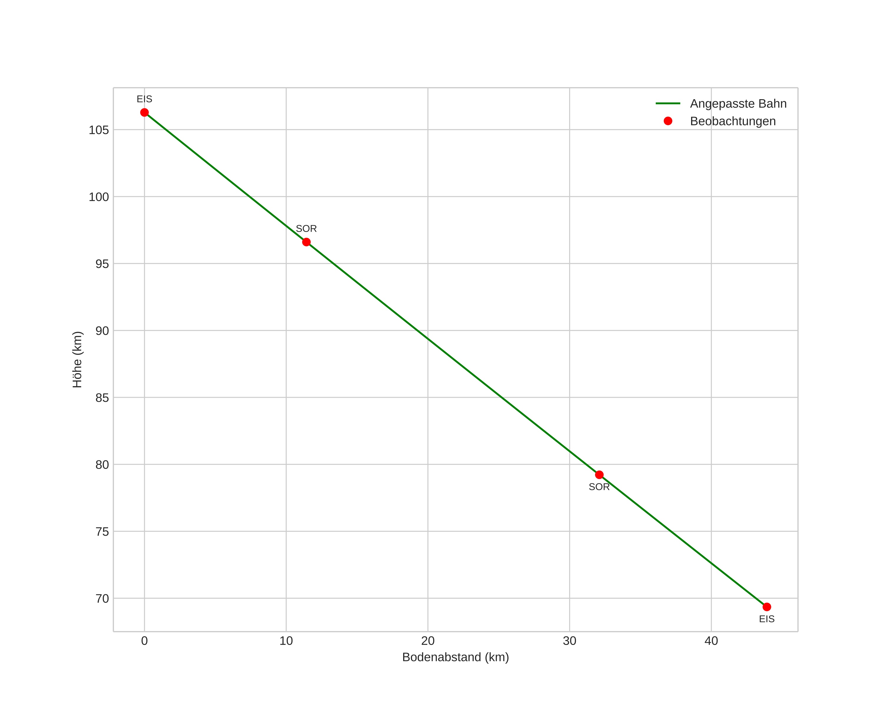
height profile
Atmosphärische Bahn des Meteors:
Anfangshöhe: 104,4 km
Endhöhe: 67,2 km
Startposition: 71,330N 23,387E
Endposition: 71,677N 23,077E
Richtung: 344,3°
Neigungswinkel: 42,9°
Eintrittsgeschwindigkeit: 39,2 km/s
Rektaszension des Radianten: 06:42 (100,7°)
Deklination des Radianten: 23,7°
Meteorstrom: sporadisch
Bahnelemente des Meteoroiden:
Periheldistanz: 0,189 AU
Exzentrizität: 0,961
Inklination: 1,3°
Länge des aufsteigenden Knotens: 261,2°
Argument des Perihels: 310,6°
Mittlere Anomalie: 356,8°
Epoche: 2023 DEC 13 22:51:39
orbit

Nicht-interaktives Diagramm | Interaktives Diagramm

position vs time
speed & acceleration