🇳🇴 🇬🇧 🇩🇪 🇨🇿 🇫🇮

Meteor, poloha: Moen 2023-12-13 23:35:42 UTC

Soubor KML  |  InteraktivnĂ­ mapa

Mapa zobrazuje dráhy meteoru. Světlejší čáry ukazují směry od pozorovacích stanic při objevení se meteoru a tmavší čáry, kde byl naposledy viděn. Modrá šipka značí viditelnou dráhu meteoru.

static map
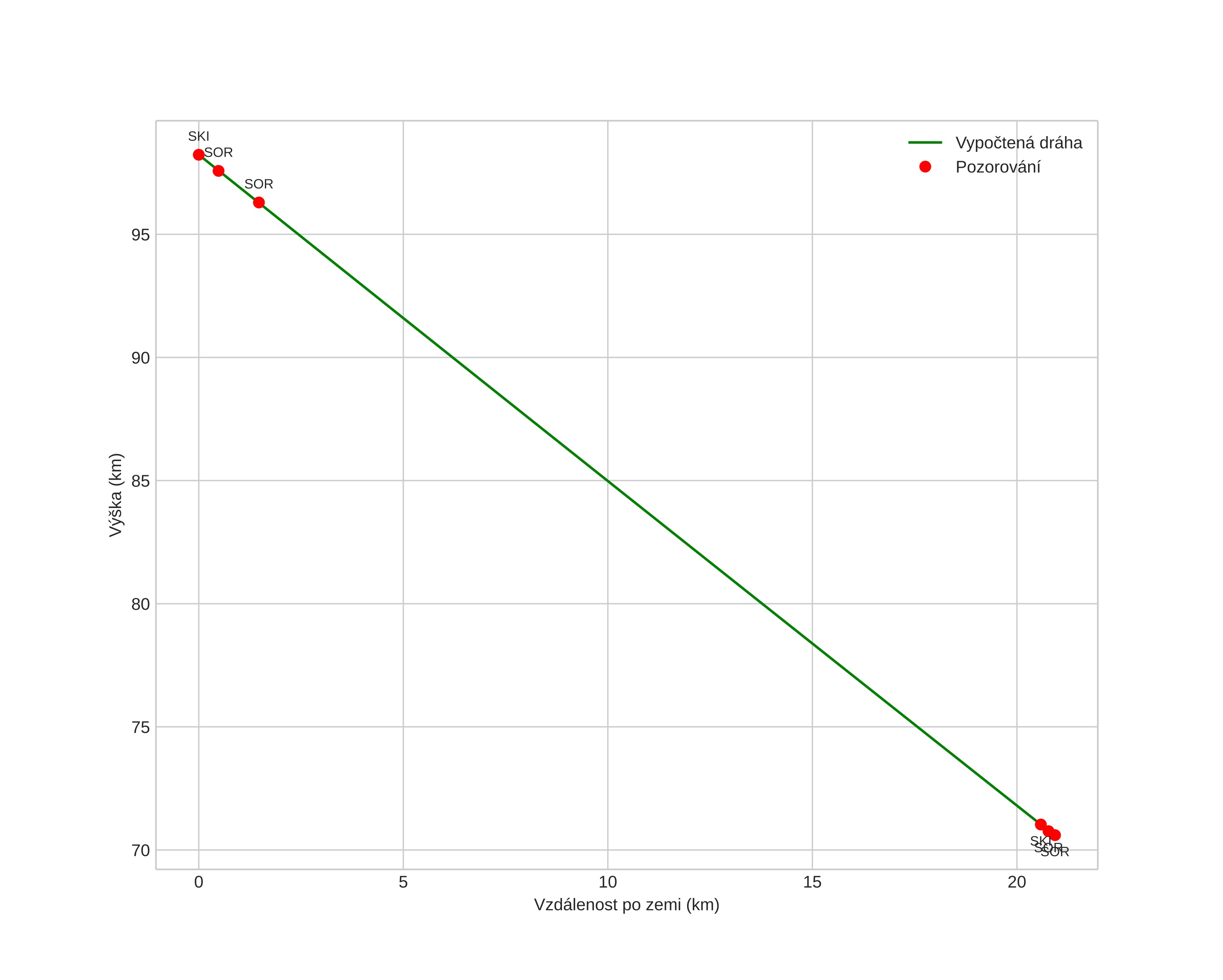
height profile
Atmosférická dráha meteoru:
Počáteční výška: 98,3 km
Konečná výška: 70,5 km
Počáteční poloha: 69,200N 19,011E
Konečná poloha: 69,370N 18,786E
Směr: 335,1°
Sklon: 53,1°
VstupnĂ­ rychlost: 36,1 km/s
Rektascenze radiantu: 07:29 (112,4°)
Deklinace radiantu: 32,7°
MeteorickĂ˝ roj: Geminidy
Elementy dráhy meteoroidu:
Vzdálenost v periheliu: 0,147 AU
Excentricita: 0,893
Sklon dráhy: 23,6°
Délka vzestupného uzlu: 261,4°
Argument perihelia: 323,6°
Střední anomálie: 336,9°
Epocha: 2023 DEC 13 23:35:42
orbit plot

NeinteraktivnĂ­ graf | InteraktivnĂ­ graf

position vs time
speed and acceleration