🇳🇴 🇬🇧 🇩🇪 🇨🇿 🇫🇮

Meteor Moenin yllä 2023-12-13 23:35:42 UTC

KML-tiedosto  |  Interaktiivinen kartta

Kartta näyttää meteorin suuntahavainnot. Vaaleammat viivat näyttävät suunnat havaintoasemilta meteorin ilmestyessä, ja tummemmat viivat näyttävät, missä se viimeksi nähtiin. Sininen nuoli näyttää meteorin näkyvän lennon.

static map
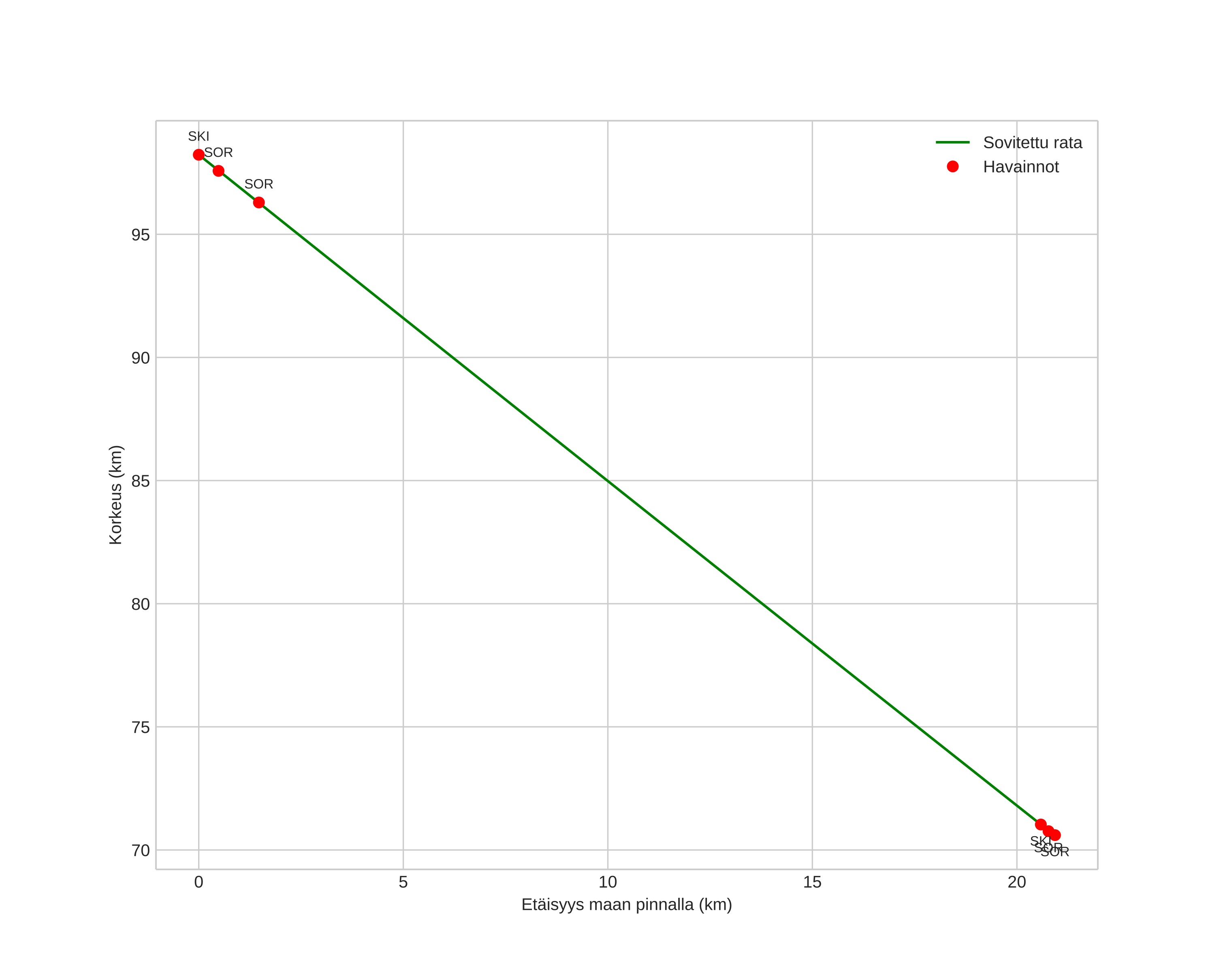
height profile
Meteorin ilmakehärata:
Alkukorkeus: 98,3 km
Loppukorkeus: 70,5 km
Alkupiste: 69,200N 19,011E
Loppupiste: 69,370N 18,786E
Suunta: 335,1°
Kallistuskulma: 53,1°
Tulonopeus: 36,1 km/s
Radiantin R,A,: 07:29 (112,4°)
Radiantin Dekl,: 32,7°
Meteoriparvi: Geminidit
Meteoroidin rataelementit:
Perihelietäisyys: 0,147 AU
Eksentrisyys: 0,893
Inklinaatio: 23,6°
Nousevan solmun pituus: 261,4°
Perihelin argumentti: 323,6°
Keskianomalia: 336,9°
Epookki: 2023 DEC 13 23:35:42
orbit plot

Ei-interaktiivinen kuvaaja | Interaktiivinen kuvaaja

position vs time
speed and acceleration