🇳🇴 🇬🇧 🇩🇪 🇨🇿 🇫🇮

Meteor, poloha: Reine 2023-12-13 23:39:30 UTC

Soubor KML  |  InteraktivnĂ­ mapa

Mapa zobrazuje dráhy meteoru. Světlejší čáry ukazují směry od pozorovacích stanic při objevení se meteoru a tmavší čáry, kde byl naposledy viděn. Modrá šipka značí viditelnou dráhu meteoru.

static map
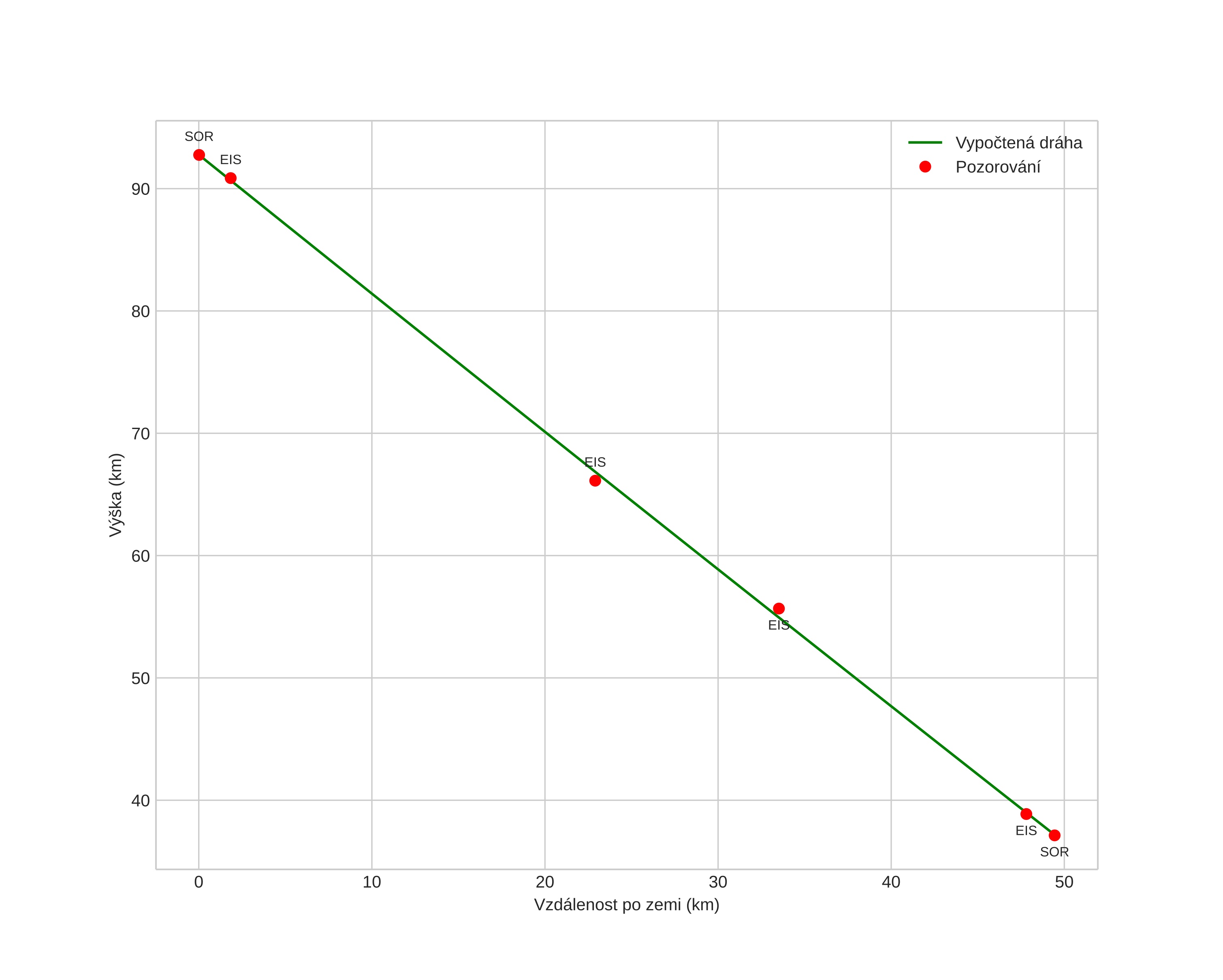
height profile
Atmosférická dráha meteoru:
Počáteční výška: 90,8 km
Konečná výška: 45,8 km
Počáteční poloha: 67,294N 14,207E
Konečná poloha: 67,398N 13,353E
Směr: 287,9°
Sklon: 49,6°
VstupnĂ­ rychlost: 32,4 km/s
Rektascenze radiantu: 09:34 (143,7°)
Deklinace radiantu: 37,7°
MeteorickĂ˝ roj: sporadickĂ˝
Elementy dráhy meteoroidu:
Vzdálenost v periheliu: 0,116 AU
Excentricita: 0,829
Sklon dráhy: 54,4°
Délka vzestupného uzlu: 261,4°
Argument perihelia: 341,0°
Střední anomálie: 277,4°
Epocha: 2023 DEC 13 23:39:30
orbit plot

NeinteraktivnĂ­ graf | InteraktivnĂ­ graf

position vs time
speed and acceleration