🇳🇴 🇬🇧 🇩🇪 🇨🇿 🇫🇮

Meteor Reinen yllä 2023-12-13 23:39:30 UTC

KML-tiedosto  |  Interaktiivinen kartta

Kartta näyttää meteorin suuntahavainnot. Vaaleammat viivat näyttävät suunnat havaintoasemilta meteorin ilmestyessä, ja tummemmat viivat näyttävät, missä se viimeksi nähtiin. Sininen nuoli näyttää meteorin näkyvän lennon.

static map
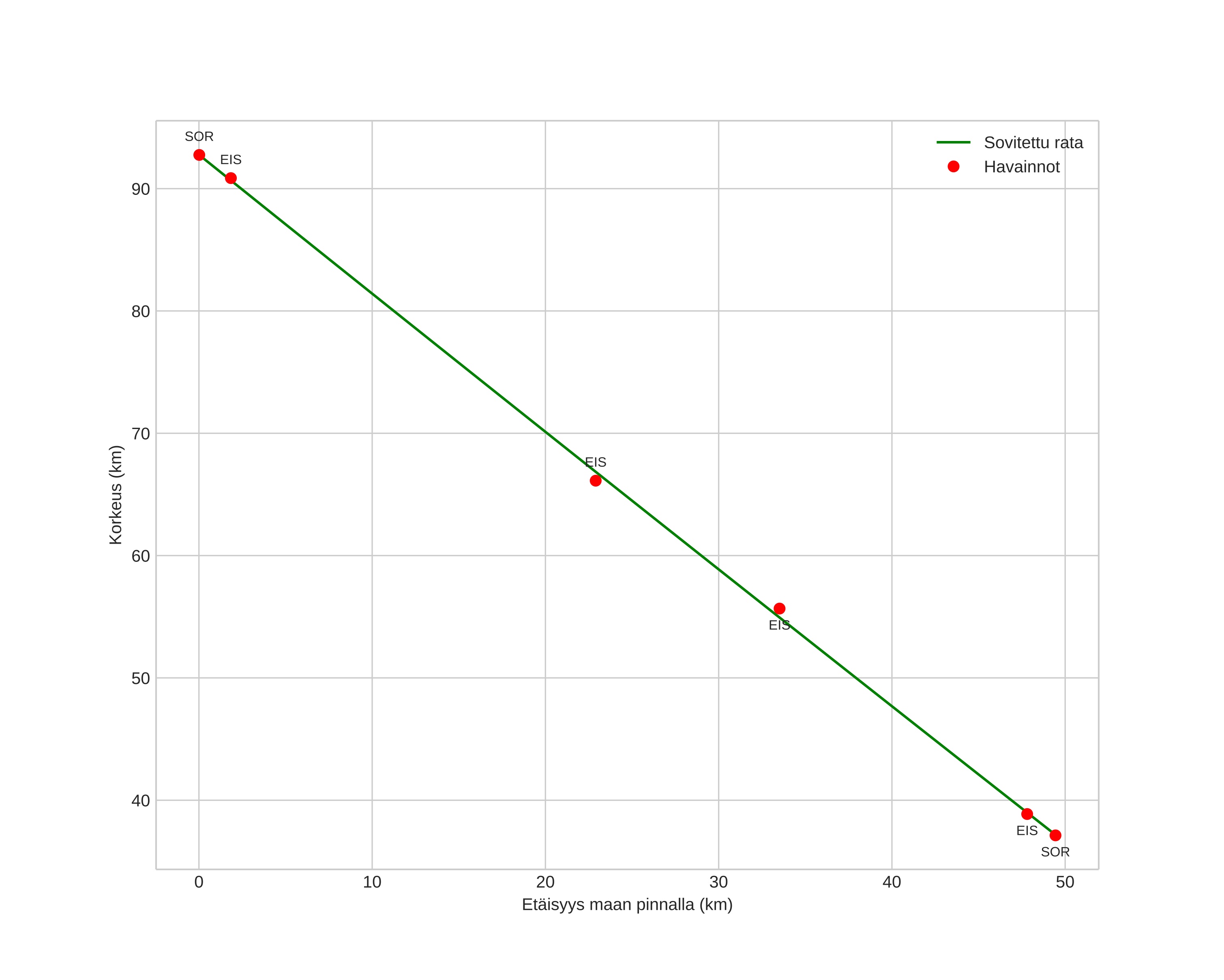
height profile
Meteorin ilmakehärata:
Alkukorkeus: 90,8 km
Loppukorkeus: 45,8 km
Alkupiste: 67,294N 14,207E
Loppupiste: 67,398N 13,353E
Suunta: 287,9°
Kallistuskulma: 49,6°
Tulonopeus: 32,4 km/s
Radiantin R,A,: 09:34 (143,7°)
Radiantin Dekl,: 37,7°
Meteoriparvi: Sporadinen
Meteoroidin rataelementit:
Perihelietäisyys: 0,116 AU
Eksentrisyys: 0,829
Inklinaatio: 54,4°
Nousevan solmun pituus: 261,4°
Perihelin argumentti: 341,0°
Keskianomalia: 277,4°
Epookki: 2023 DEC 13 23:39:30
orbit plot

Ei-interaktiivinen kuvaaja | Interaktiivinen kuvaaja

position vs time
speed and acceleration