🇳🇴 🇬🇧 🇩🇪 🇨🇿 🇫🇮

Meteor, poloha: Pajala 2023-12-13 23:46:59 UTC

Soubor KML  |  InteraktivnĂ­ mapa

Mapa zobrazuje dráhy meteoru. Světlejší čáry ukazují směry od pozorovacích stanic při objevení se meteoru a tmavší čáry, kde byl naposledy viděn. Modrá šipka značí viditelnou dráhu meteoru.

static map
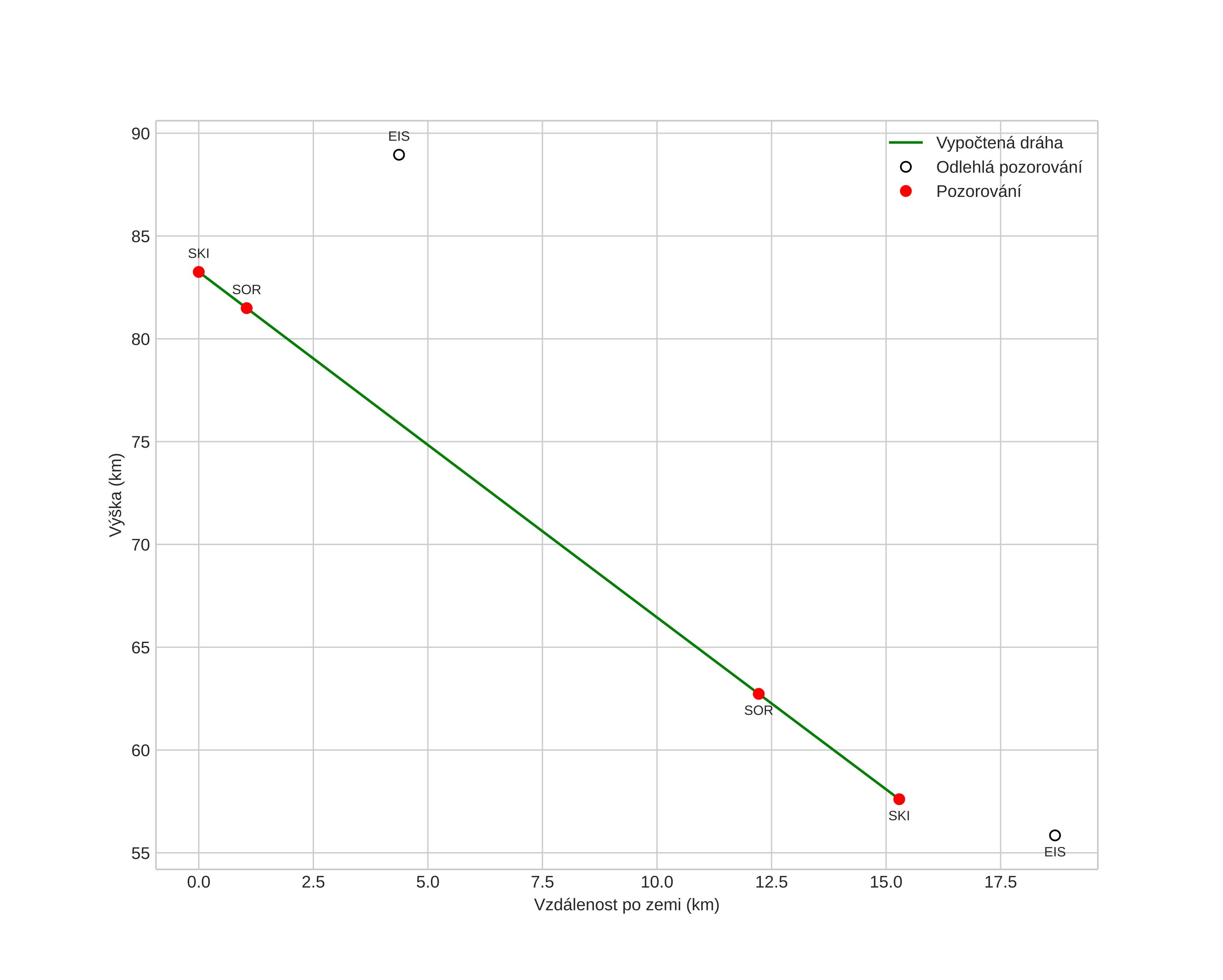
height profile
Atmosférická dráha meteoru:
Počáteční výška: 82,8 km
Konečná výška: 56,0 km
Počáteční poloha: 67,479N 22,848E
Konečná poloha: 67,651N 22,709E
Směr: 342,9°
Sklon: 53,4°
VstupnĂ­ rychlost: 37,0 km/s
Rektascenze radiantu: 07:32 (113,2°)
Deklinace radiantu: 30,6°
MeteorickĂ˝ roj: Geminidy
Elementy dráhy meteoroidu:
Vzdálenost v periheliu: 0,121 AU
Excentricita: 0,912
Sklon dráhy: 21,8°
Délka vzestupného uzlu: 261,4°
Argument perihelia: 327,0°
Střední anomálie: 337,9°
Epocha: 2023 DEC 13 23:46:59
orbit plot

NeinteraktivnĂ­ graf | InteraktivnĂ­ graf

position vs time
speed and acceleration