🇳🇴 🇬🇧 🇩🇪 🇨🇿 🇫🇮

Meteor über Pajala 2023-12-13 23:46:59 UTC

KML-Datei  |  Interaktive Karte

Die Karte zeigt die Peilungen für den Meteor. Die helleren Linien zeigen die Richtungen von den Beobachtungsorten beim Erscheinen des Meteors, und die dunkleren Linien, wo er zuletzt gesehen wurde. Der blaue Pfeil zeigt die sichtbare Bahn des Meteors.

static map
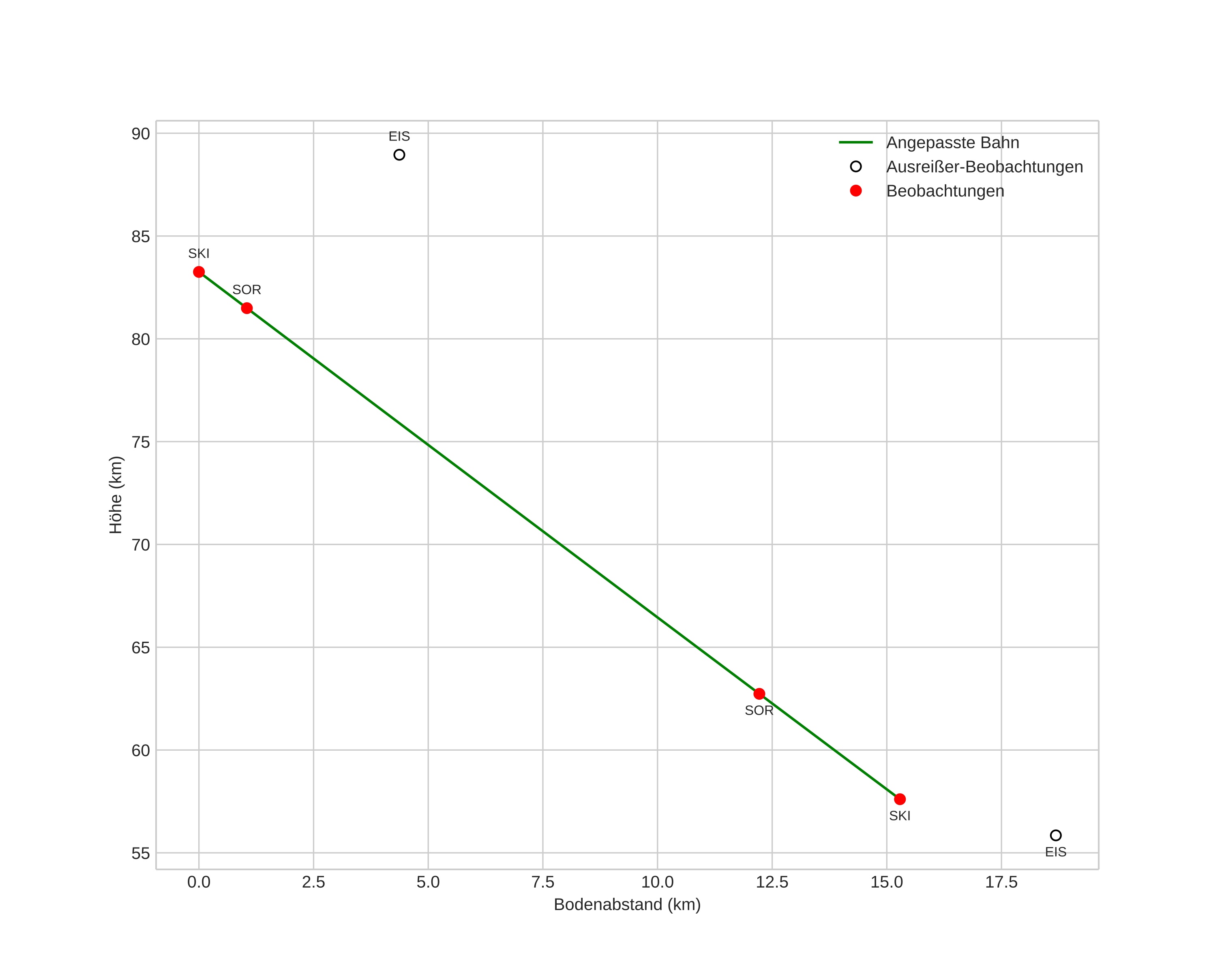
height profile
Atmosphärische Bahn des Meteors:
Anfangshöhe: 82,8 km
Endhöhe: 56,0 km
Startposition: 67,479N 22,848E
Endposition: 67,651N 22,709E
Richtung: 342,9°
Neigungswinkel: 53,4°
Eintrittsgeschwindigkeit: 37,0 km/s
Rektaszension des Radianten: 07:32 (113,2°)
Deklination des Radianten: 30,6°
Meteorstrom: Geminiden
Bahnelemente des Meteoroiden:
Periheldistanz: 0,121 AU
Exzentrizität: 0,912
Inklination: 21,8°
Länge des aufsteigenden Knotens: 261,4°
Argument des Perihels: 327,0°
Mittlere Anomalie: 337,9°
Epoche: 2023 DEC 13 23:46:59
orbit plot

Nicht-interaktives Diagramm | Interaktives Diagramm

position vs time
speed and acceleration