🇳🇴 🇬🇧 🇩🇪 🇨🇿 🇫🇮

Meteor, poloha: Hatteng 2023-12-14 06:50:32 UTC

Soubor KML  |  InteraktivnĂ­ mapa

Mapa zobrazuje dráhy meteoru. Světlejší čáry ukazují směry od pozorovacích stanic při objevení se meteoru a tmavší čáry, kde byl naposledy viděn. Modrá šipka značí viditelnou dráhu meteoru.

static map
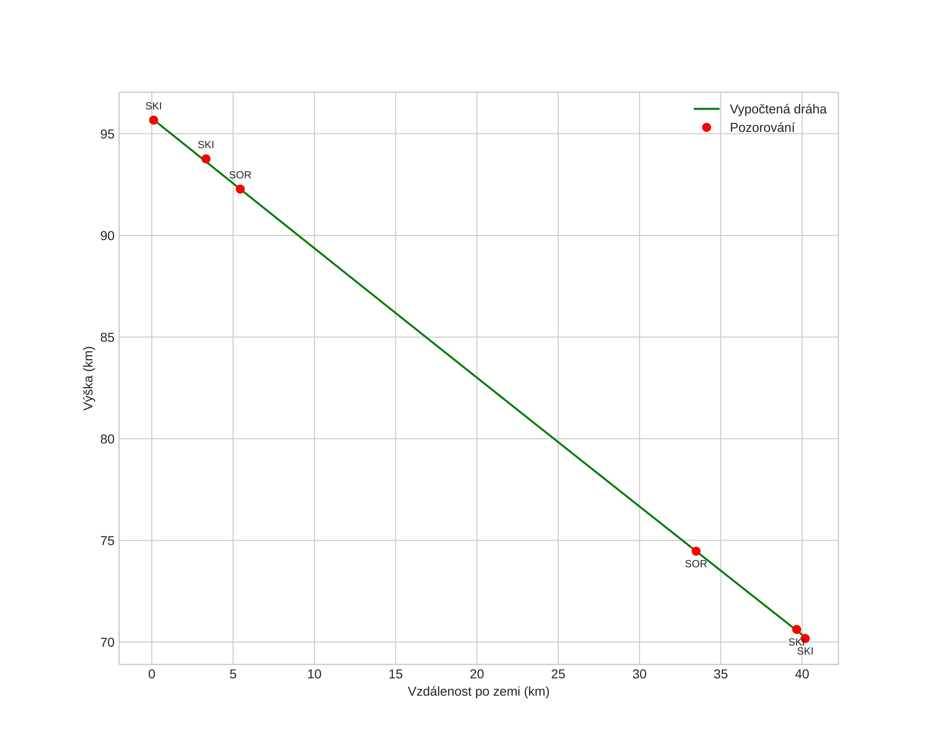
height profile
Atmosférická dráha meteoru:
Počáteční výška: 95,7 km
Konečná výška: 70,1 km
Počáteční poloha: 68,850N 19,070E
Konečná poloha: 68,764N 20,043E
Směr: 103,2°
Sklon: 32,5°
VstupnĂ­ rychlost: 37,6 km/s
Rektascenze radiantu: 07:36 (114,2°)
Deklinace radiantu: 33,4°
MeteorickĂ˝ roj: Geminidy
Elementy dráhy meteoroidu:
Vzdálenost v periheliu: 0,131 AU
Excentricita: 0,911
Sklon dráhy: 28,7°
Délka vzestupného uzlu: 261,7°
Argument perihelia: 325,1°
Střední anomálie: 339,8°
Epocha: 2023 DEC 14 06:50:32
orbit plot

NeinteraktivnĂ­ graf | InteraktivnĂ­ graf

position vs time
speed and acceleration