🇳🇴 🇬🇧 🇩🇪 🇨🇿 🇫🇮

Meteor über Hatteng 2023-12-14 06:50:32 UTC

KML-Datei  |  Interaktive Karte

Die Karte zeigt die Peilungen für den Meteor. Die helleren Linien zeigen die Richtungen von den Beobachtungsorten beim Erscheinen des Meteors, und die dunkleren Linien, wo er zuletzt gesehen wurde. Der blaue Pfeil zeigt die sichtbare Bahn des Meteors.

static map
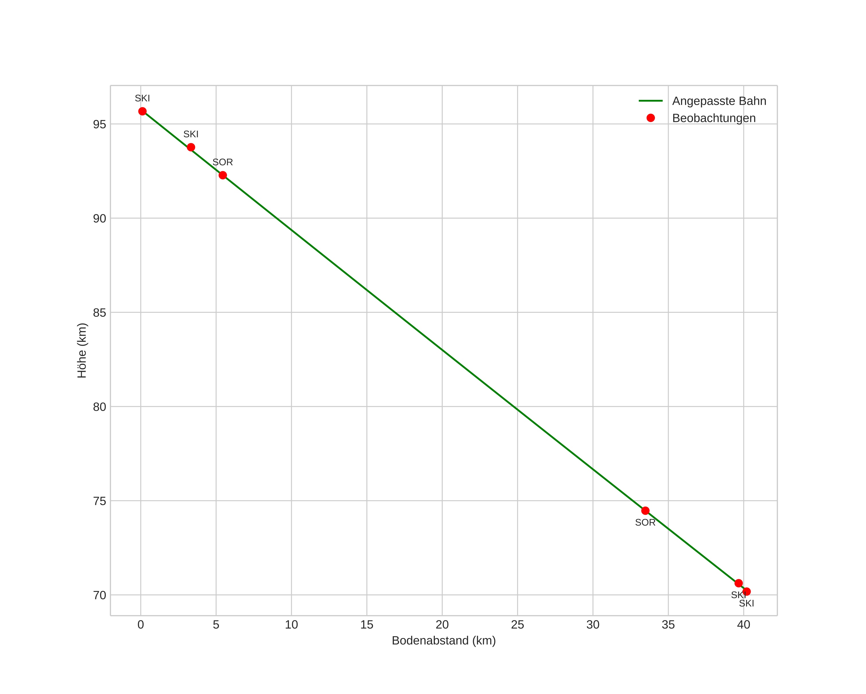
height profile
Atmosphärische Bahn des Meteors:
Anfangshöhe: 95,7 km
Endhöhe: 70,1 km
Startposition: 68,850N 19,070E
Endposition: 68,764N 20,043E
Richtung: 103,2°
Neigungswinkel: 32,5°
Eintrittsgeschwindigkeit: 37,6 km/s
Rektaszension des Radianten: 07:36 (114,2°)
Deklination des Radianten: 33,4°
Meteorstrom: Geminiden
Bahnelemente des Meteoroiden:
Periheldistanz: 0,131 AU
Exzentrizität: 0,911
Inklination: 28,7°
Länge des aufsteigenden Knotens: 261,7°
Argument des Perihels: 325,1°
Mittlere Anomalie: 339,8°
Epoche: 2023 DEC 14 06:50:32
orbit plot

Nicht-interaktives Diagramm | Interaktives Diagramm

position vs time
speed and acceleration