🇳🇴 🇬🇧 🇩🇪 🇨🇿 🇫🇮

Meteor, poloha: Alta 2023-12-14 14:25:10 UTC

Soubor KML  |  InteraktivnĂ­ mapa

Mapa zobrazuje dráhy meteoru. Světlejší čáry ukazují směry od pozorovacích stanic při objevení se meteoru a tmavší čáry, kde byl naposledy viděn. Modrá šipka značí viditelnou dráhu meteoru.

static map
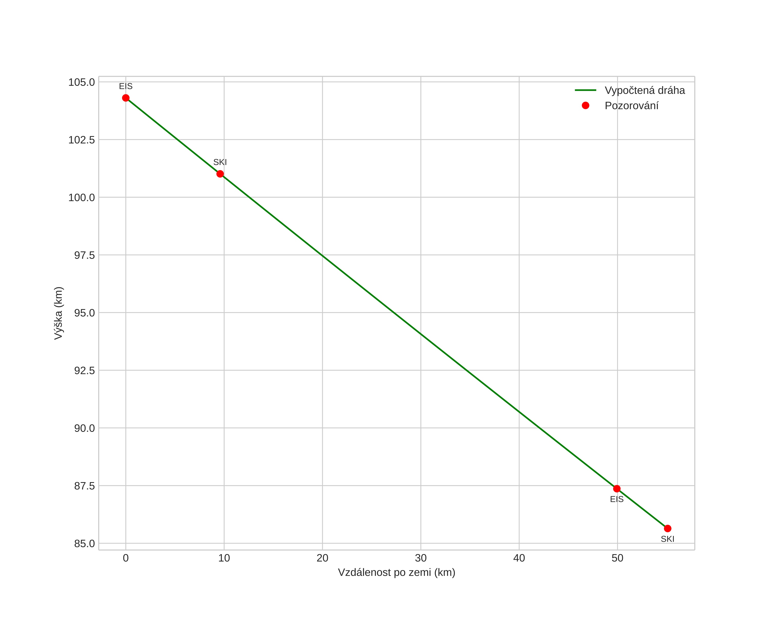
height profile
Atmosférická dráha meteoru:
Počáteční výška: 102,5 km
Konečná výška: 86,5 km
Počáteční poloha: 70,087N 23,913E
Konečná poloha: 69,670N 23,278E
Směr: 207,9°
Sklon: 17,0°
VstupnĂ­ rychlost: 38,0 km/s
Rektascenze radiantu: 07:22 (110,6°)
Deklinace radiantu: 32,5°
MeteorickĂ˝ roj: Geminidy
Elementy dráhy meteoroidu:
Vzdálenost v periheliu: 0,150 AU
Excentricita: 0,917
Sklon dráhy: 23,5°
Délka vzestupného uzlu: 262,0°
Argument perihelia: 320,5°
Střední anomálie: 345,4°
Epocha: 2023 DEC 14 14:25:10
orbit plot

NeinteraktivnĂ­ graf | InteraktivnĂ­ graf

position vs time
speed and acceleration