🇳🇴 🇬🇧 🇩🇪 🇨🇿 🇫🇮

Meteor Altan yllä 2023-12-14 14:25:10 UTC

KML-tiedosto  |  Interaktiivinen kartta

Kartta näyttää meteorin suuntahavainnot. Vaaleammat viivat näyttävät suunnat havaintoasemilta meteorin ilmestyessä, ja tummemmat viivat näyttävät, missä se viimeksi nähtiin. Sininen nuoli näyttää meteorin näkyvän lennon.

static map
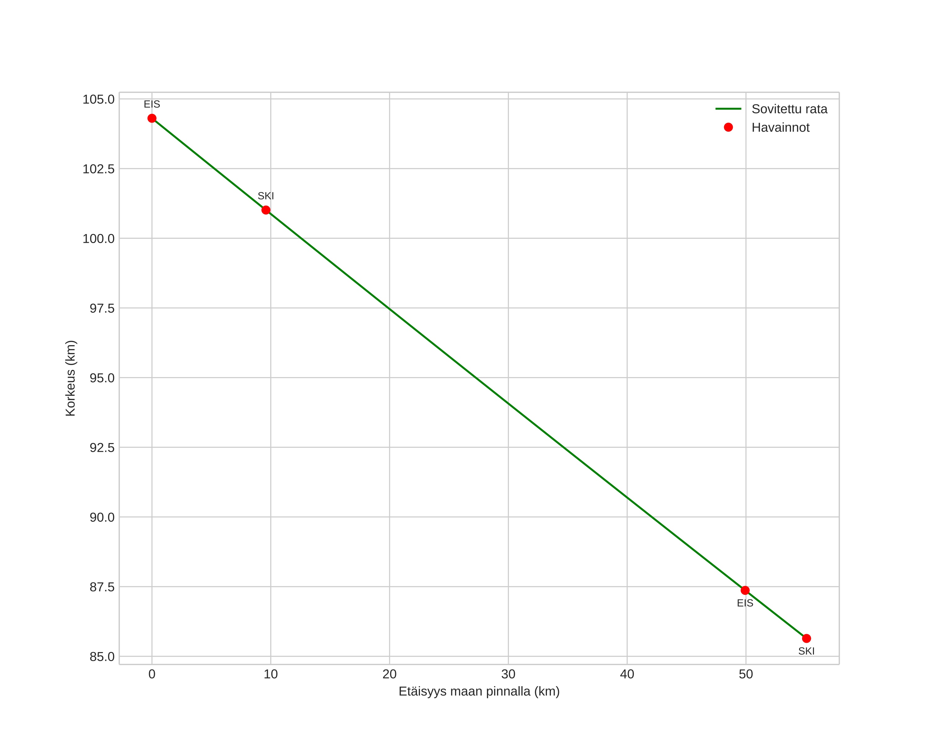
height profile
Meteorin ilmakehärata:
Alkukorkeus: 102,5 km
Loppukorkeus: 86,5 km
Alkupiste: 70,087N 23,913E
Loppupiste: 69,670N 23,278E
Suunta: 207,9°
Kallistuskulma: 17,0°
Tulonopeus: 38,0 km/s
Radiantin R,A,: 07:22 (110,6°)
Radiantin Dekl,: 32,5°
Meteoriparvi: Geminidit
Meteoroidin rataelementit:
Perihelietäisyys: 0,150 AU
Eksentrisyys: 0,917
Inklinaatio: 23,5°
Nousevan solmun pituus: 262,0°
Perihelin argumentti: 320,5°
Keskianomalia: 345,4°
Epookki: 2023 DEC 14 14:25:10
orbit plot

Ei-interaktiivinen kuvaaja | Interaktiivinen kuvaaja

position vs time
speed and acceleration