🇳🇴 🇬🇧 🇩🇪 🇨🇿 🇫🇮

Meteor, poloha: Narvik 2023-12-14 14:40:59 UTC

Soubor KML  |  InteraktivnĂ­ mapa

Mapa zobrazuje dráhy meteoru. Světlejší čáry ukazují směry od pozorovacích stanic při objevení se meteoru a tmavší čáry, kde byl naposledy viděn. Modrá šipka značí viditelnou dráhu meteoru.

static map
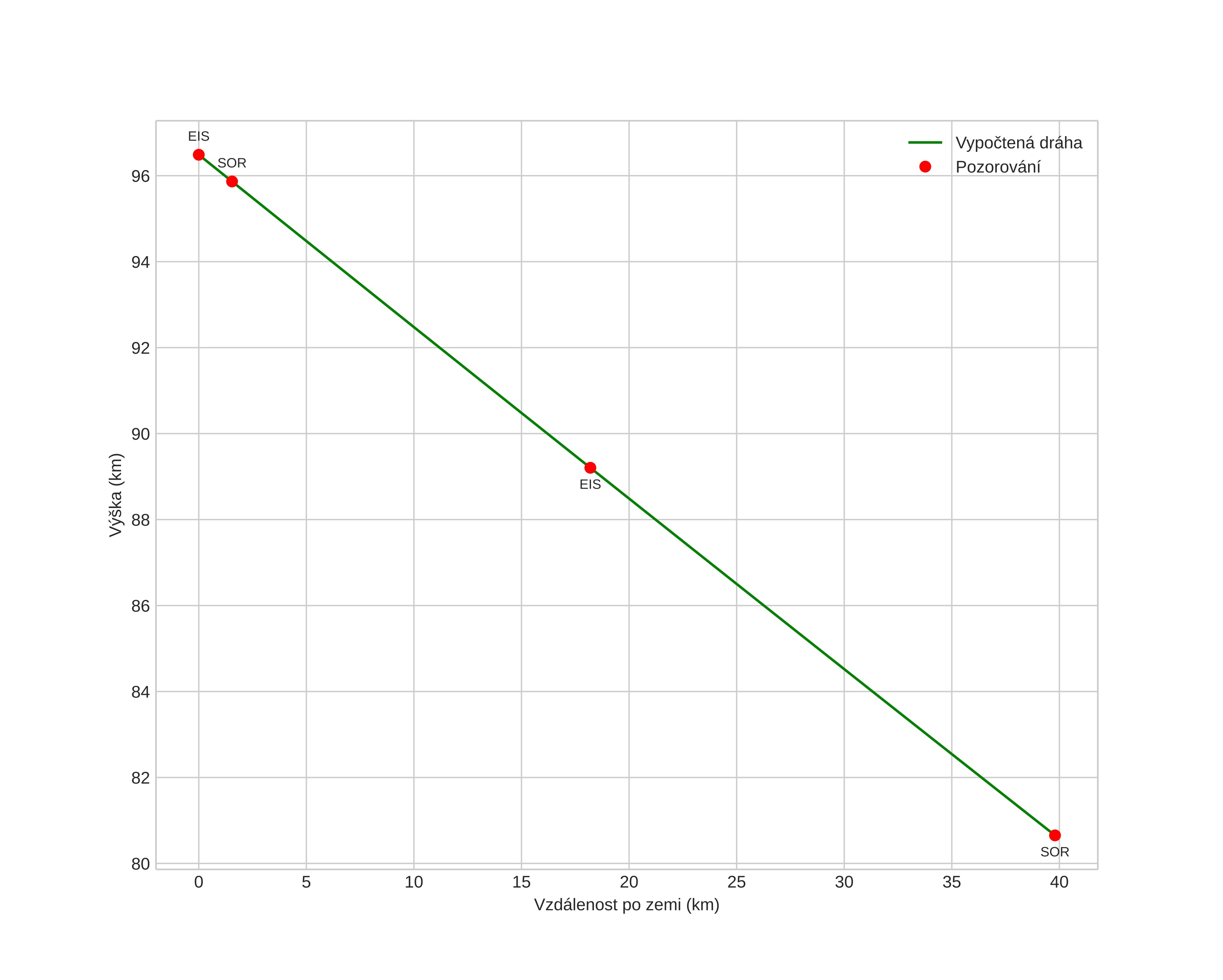
height profile
Atmosférická dráha meteoru:
Počáteční výška: 97,7 km
Konečná výška: 90,5 km
Počáteční poloha: 67,789N 18,114E
Konečná poloha: 67,307N 17,631E
Směr: 201,1°
Sklon: 7,1°
VstupnĂ­ rychlost: 42,0 km/s
Rektascenze radiantu: 07:50 (117,6°)
Deklinace radiantu: 26,0°
MeteorickĂ˝ roj: Geminidy
Elementy dráhy meteoroidu:
Vzdálenost v periheliu: 0,046 AU
Excentricita: 0,971
Sklon dráhy: 22,2°
Délka vzestupného uzlu: 262,0°
Argument perihelia: 339,1°
Střední anomálie: 344,3°
Epocha: 2023 DEC 14 14:40:59
orbit plot

NeinteraktivnĂ­ graf | InteraktivnĂ­ graf

position vs time
speed and acceleration