🇳🇴 🇬🇧 🇩🇪 🇨🇿 🇫🇮

Meteor Narvikin yllä 2023-12-14 14:40:59 UTC

KML-tiedosto  |  Interaktiivinen kartta

Kartta näyttää meteorin suuntahavainnot. Vaaleammat viivat näyttävät suunnat havaintoasemilta meteorin ilmestyessä, ja tummemmat viivat näyttävät, missä se viimeksi nähtiin. Sininen nuoli näyttää meteorin näkyvän lennon.

static map
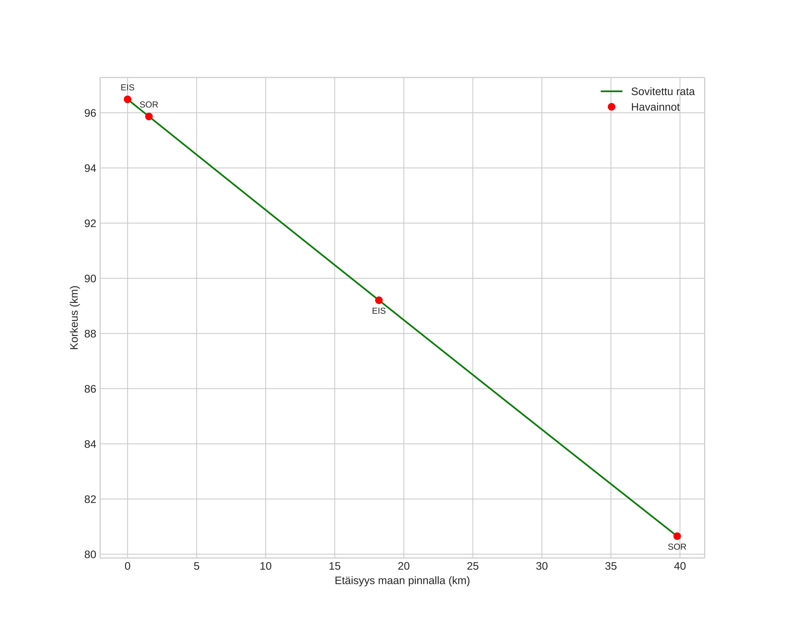
height profile
Meteorin ilmakehärata:
Alkukorkeus: 97,7 km
Loppukorkeus: 90,5 km
Alkupiste: 67,789N 18,114E
Loppupiste: 67,307N 17,631E
Suunta: 201,1°
Kallistuskulma: 7,1°
Tulonopeus: 42,0 km/s
Radiantin R,A,: 07:50 (117,6°)
Radiantin Dekl,: 26,0°
Meteoriparvi: Geminidit
Meteoroidin rataelementit:
Perihelietäisyys: 0,046 AU
Eksentrisyys: 0,971
Inklinaatio: 22,2°
Nousevan solmun pituus: 262,0°
Perihelin argumentti: 339,1°
Keskianomalia: 344,3°
Epookki: 2023 DEC 14 14:40:59
orbit plot

Ei-interaktiivinen kuvaaja | Interaktiivinen kuvaaja

position vs time
speed and acceleration