🇳🇴 🇬🇧 🇩🇪 🇨🇿 🇫🇮

Meteor, poloha: Straume 2023-12-14 15:02:05 UTC

Soubor KML  |  InteraktivnĂ­ mapa

Mapa zobrazuje dráhy meteoru. Světlejší čáry ukazují směry od pozorovacích stanic při objevení se meteoru a tmavší čáry, kde byl naposledy viděn. Modrá šipka značí viditelnou dráhu meteoru.

static map
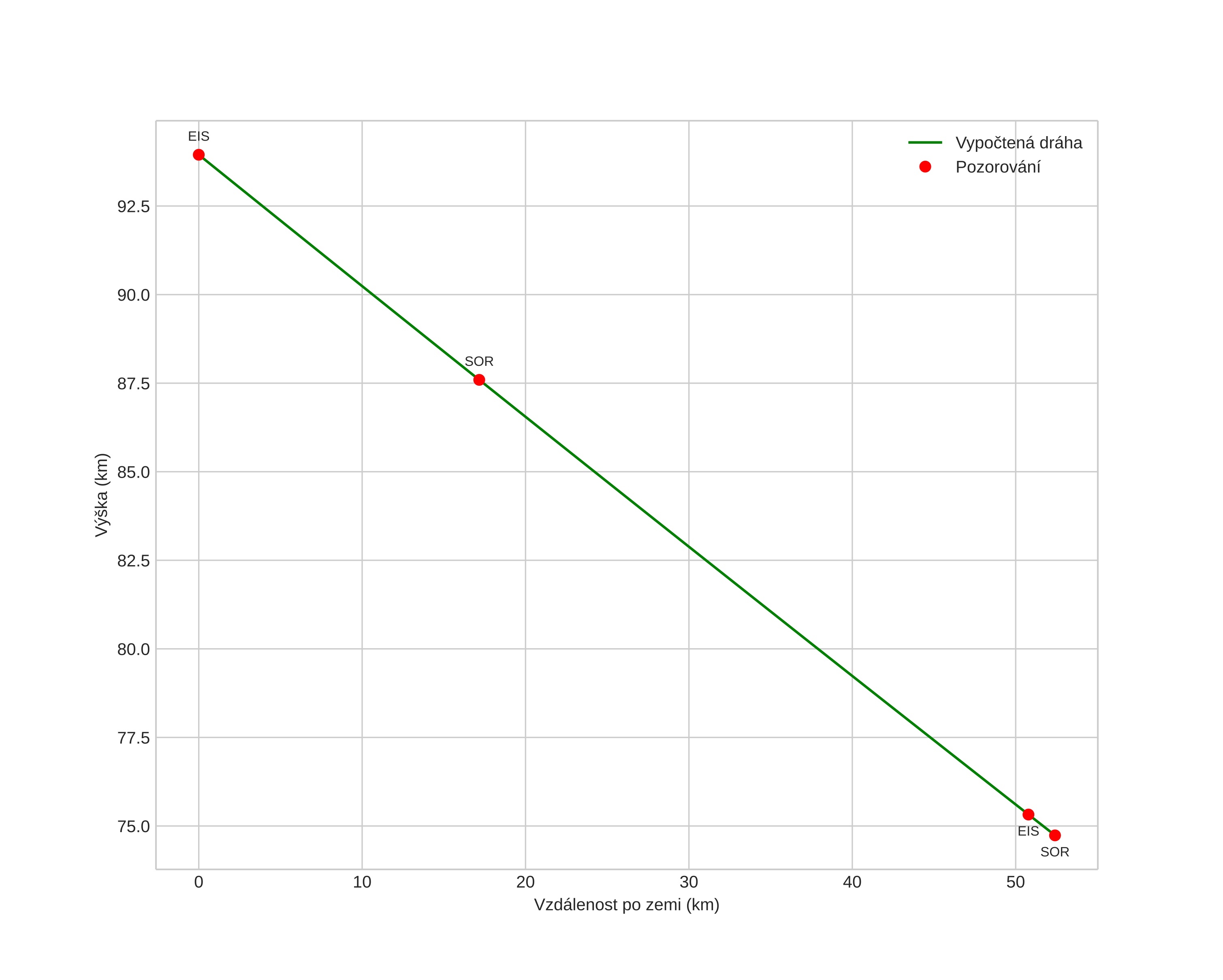
height profile
Atmosférická dráha meteoru:
Počáteční výška: 93,5 km
Konečná výška: 74,7 km
Počáteční poloha: 69,211N 14,414E
Konečná poloha: 68,765N 13,950E
Směr: 200,7°
Sklon: 19,5°
VstupnĂ­ rychlost: 30,2 km/s
Rektascenze radiantu: 07:52 (118,2°)
Deklinace radiantu: 36,0°
MeteorickĂ˝ roj: Geminidy
Elementy dráhy meteoroidu:
Vzdálenost v periheliu: 0,191 AU
Excentricita: 0,797
Sklon dráhy: 23,8°
Délka vzestupného uzlu: 262,0°
Argument perihelia: 324,8°
Střední anomálie: 312,2°
Epocha: 2023 DEC 14 15:02:05
orbit plot

NeinteraktivnĂ­ graf | InteraktivnĂ­ graf

position vs time
speed and acceleration