🇳🇴 🇬🇧 🇩🇪 🇨🇿 🇫🇮

Meteor Straumen yllä 2023-12-14 15:02:05 UTC

KML-tiedosto  |  Interaktiivinen kartta

Kartta näyttää meteorin suuntahavainnot. Vaaleammat viivat näyttävät suunnat havaintoasemilta meteorin ilmestyessä, ja tummemmat viivat näyttävät, missä se viimeksi nähtiin. Sininen nuoli näyttää meteorin näkyvän lennon.

static map
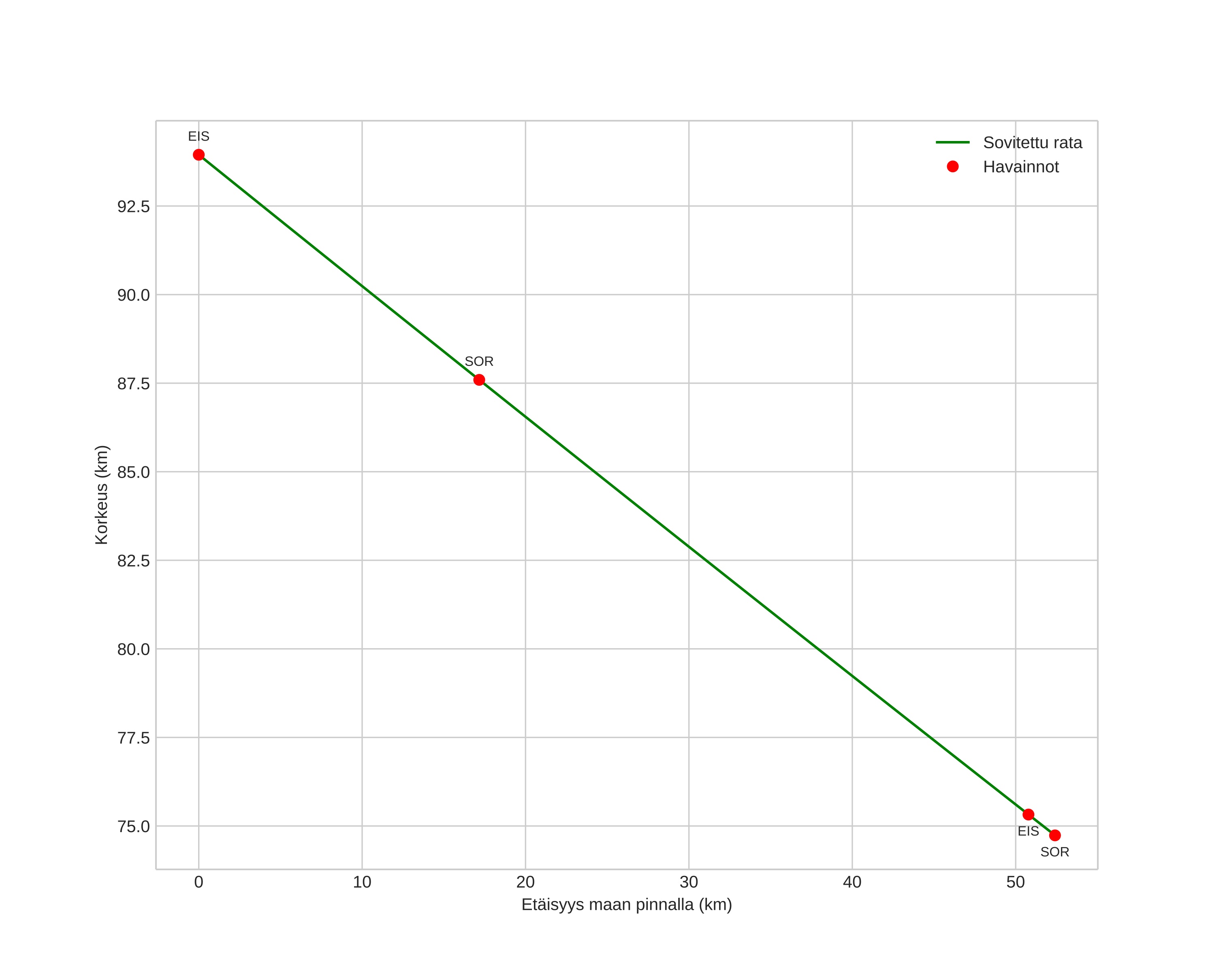
height profile
Meteorin ilmakehärata:
Alkukorkeus: 93,5 km
Loppukorkeus: 74,7 km
Alkupiste: 69,211N 14,414E
Loppupiste: 68,765N 13,950E
Suunta: 200,7°
Kallistuskulma: 19,5°
Tulonopeus: 30,2 km/s
Radiantin R,A,: 07:52 (118,2°)
Radiantin Dekl,: 36,0°
Meteoriparvi: Geminidit
Meteoroidin rataelementit:
Perihelietäisyys: 0,191 AU
Eksentrisyys: 0,797
Inklinaatio: 23,8°
Nousevan solmun pituus: 262,0°
Perihelin argumentti: 324,8°
Keskianomalia: 312,2°
Epookki: 2023 DEC 14 15:02:05
orbit plot

Ei-interaktiivinen kuvaaja | Interaktiivinen kuvaaja

position vs time
speed and acceleration