🇳🇴 🇬🇧 🇩🇪 🇨🇿 🇫🇮

Meteor, poloha: Storslett 2023-12-14 15:23:02 UTC

Soubor KML  |  InteraktivnĂ­ mapa

Mapa zobrazuje dráhy meteoru. Světlejší čáry ukazují směry od pozorovacích stanic při objevení se meteoru a tmavší čáry, kde byl naposledy viděn. Modrá šipka značí viditelnou dráhu meteoru.

static map
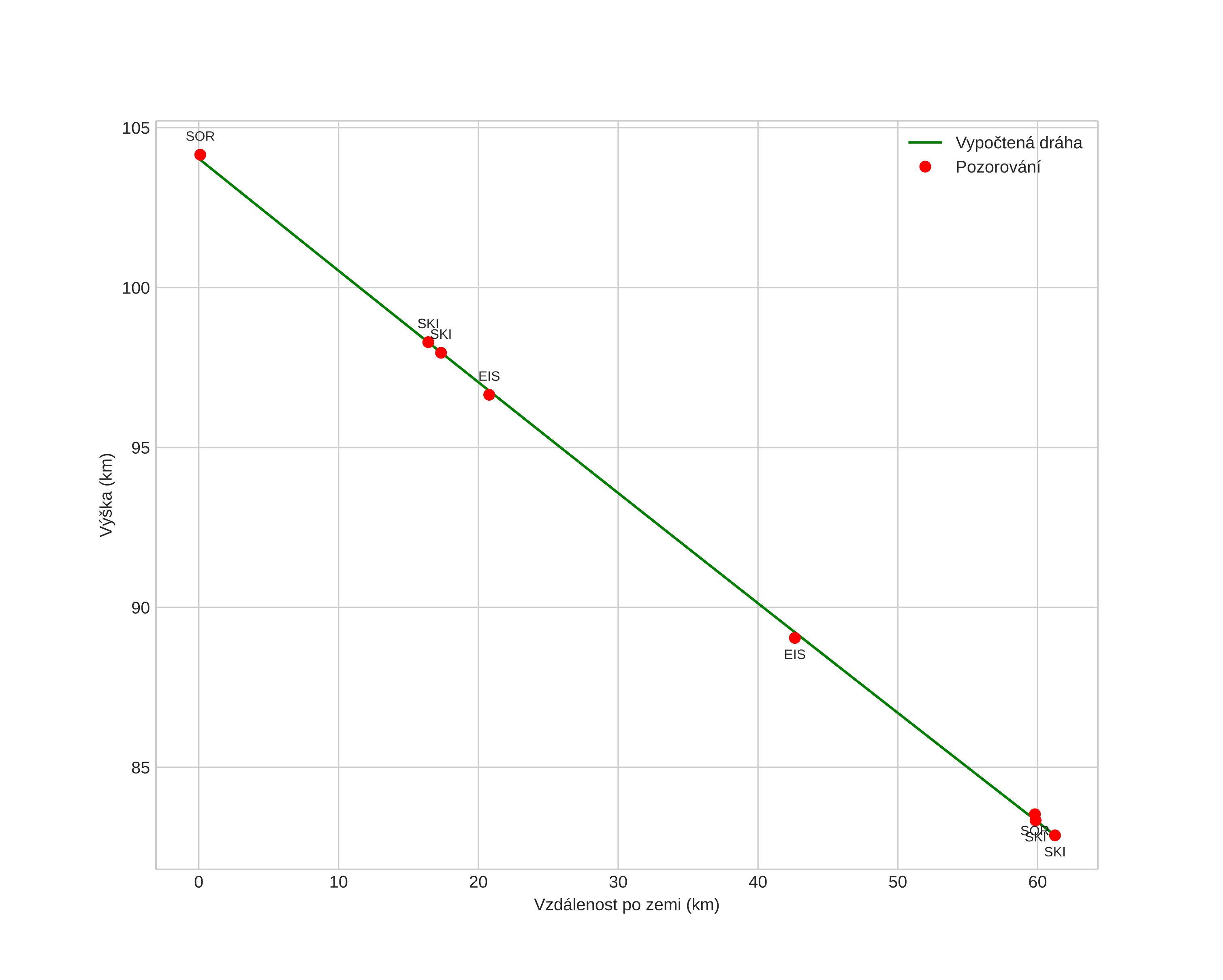
height profile
Atmosférická dráha meteoru:
Počáteční výška: 103,4 km
Konečná výška: 82,8 km
Počáteční poloha: 70,070N 21,801E
Konečná poloha: 69,630N 20,881E
Směr: 216,2°
Sklon: 18,9°
VstupnĂ­ rychlost: 37,4 km/s
Rektascenze radiantu: 07:33 (113,3°)
Deklinace radiantu: 32,7°
MeteorickĂ˝ roj: Geminidy
Elementy dráhy meteoroidu:
Vzdálenost v periheliu: 0,137 AU
Excentricita: 0,908
Sklon dráhy: 25,5°
Délka vzestupného uzlu: 262,0°
Argument perihelia: 324,0°
Střední anomálie: 340,2°
Epocha: 2023 DEC 14 15:23:02
orbit plot

NeinteraktivnĂ­ graf | InteraktivnĂ­ graf

position vs time
speed and acceleration