🇳🇴 🇬🇧 🇩🇪 🇨🇿 🇫🇮

Meteor Storslettin yllä 2023-12-14 15:23:02 UTC

KML-tiedosto  |  Interaktiivinen kartta

Kartta näyttää meteorin suuntahavainnot. Vaaleammat viivat näyttävät suunnat havaintoasemilta meteorin ilmestyessä, ja tummemmat viivat näyttävät, missä se viimeksi nähtiin. Sininen nuoli näyttää meteorin näkyvän lennon.

static map
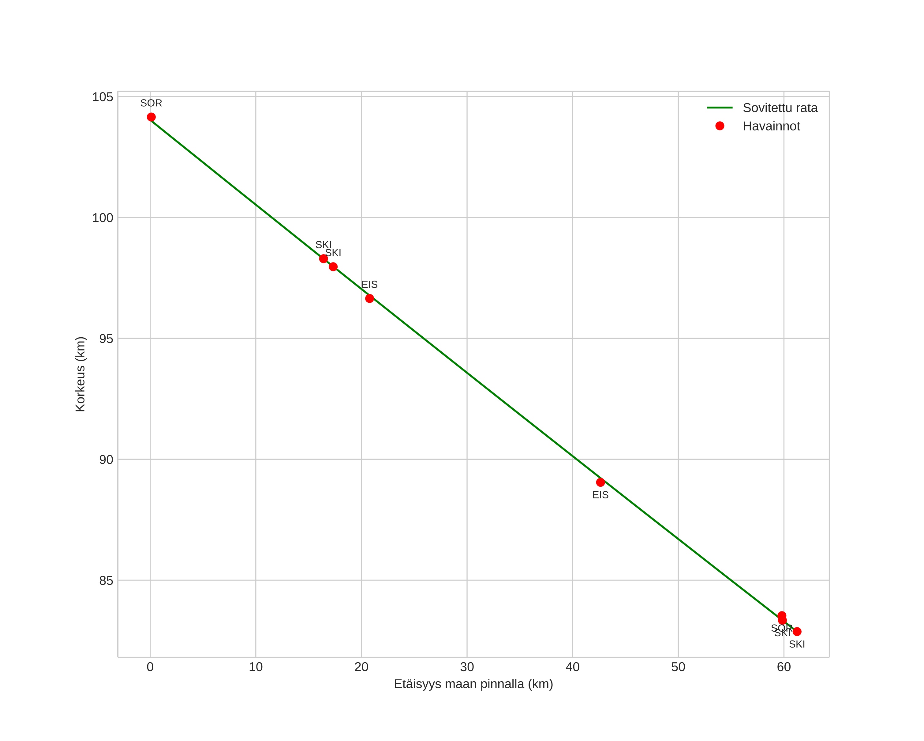
height profile
Meteorin ilmakehärata:
Alkukorkeus: 103,4 km
Loppukorkeus: 82,8 km
Alkupiste: 70,070N 21,801E
Loppupiste: 69,630N 20,881E
Suunta: 216,2°
Kallistuskulma: 18,9°
Tulonopeus: 37,4 km/s
Radiantin R,A,: 07:33 (113,3°)
Radiantin Dekl,: 32,7°
Meteoriparvi: Geminidit
Meteoroidin rataelementit:
Perihelietäisyys: 0,137 AU
Eksentrisyys: 0,908
Inklinaatio: 25,5°
Nousevan solmun pituus: 262,0°
Perihelin argumentti: 324,0°
Keskianomalia: 340,2°
Epookki: 2023 DEC 14 15:23:02
orbit plot

Ei-interaktiivinen kuvaaja | Interaktiivinen kuvaaja

position vs time
speed and acceleration