🇳🇴 🇬🇧 🇩🇪 🇨🇿 🇫🇮

Meteor, poloha: Lødingen 2023-12-14 15:55:21 UTC

Soubor KML  |  InteraktivnĂ­ mapa

Mapa zobrazuje dráhy meteoru. Světlejší čáry ukazují směry od pozorovacích stanic při objevení se meteoru a tmavší čáry, kde byl naposledy viděn. Modrá šipka značí viditelnou dráhu meteoru.

static map
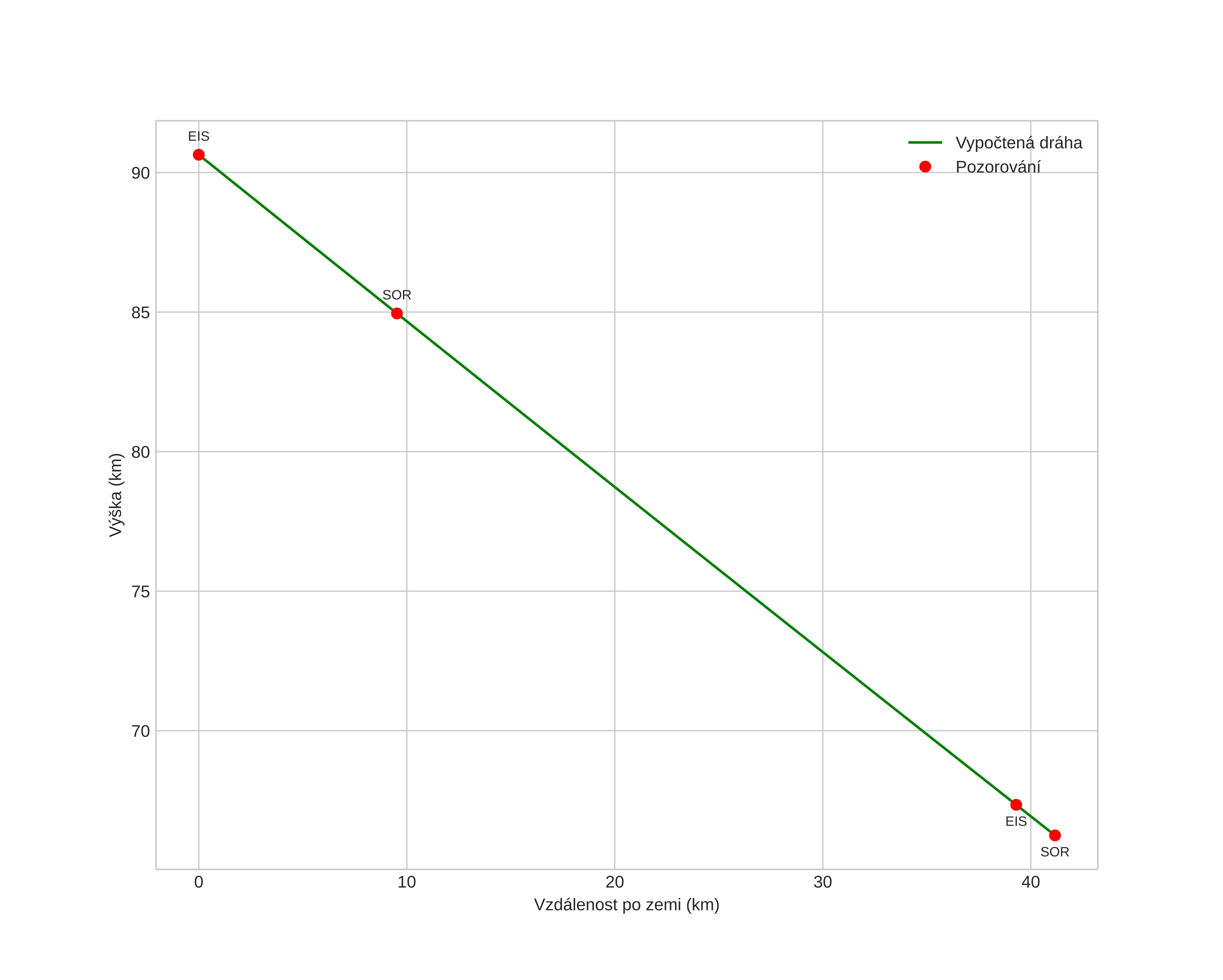
height profile
Atmosférická dráha meteoru:
Počáteční výška: 90,9 km
Konečná výška: 65,0 km
Počáteční poloha: 68,339N 16,770E
Konečná poloha: 68,069N 16,174E
Směr: 219,6°
Sklon: 33,7°
VstupnĂ­ rychlost: 28,4 km/s
Rektascenze radiantu: 07:04 (106,1°)
Deklinace radiantu: 46,6°
MeteorickĂ˝ roj: sporadickĂ˝
Elementy dráhy meteoroidu:
Vzdálenost v periheliu: 0,387 AU
Excentricita: 0,697
Sklon dráhy: 25,4°
Délka vzestupného uzlu: 262,1°
Argument perihelia: 298,6°
Střední anomálie: 327,0°
Epocha: 2023 DEC 14 15:55:21
orbit plot

NeinteraktivnĂ­ graf | InteraktivnĂ­ graf

position vs time
speed and acceleration