🇳🇴 🇬🇧 🇩🇪 🇨🇿 🇫🇮

Meteor Lødingenin yllä 2023-12-14 15:55:21 UTC

KML-tiedosto  |  Interaktiivinen kartta

Kartta näyttää meteorin suuntahavainnot. Vaaleammat viivat näyttävät suunnat havaintoasemilta meteorin ilmestyessä, ja tummemmat viivat näyttävät, missä se viimeksi nähtiin. Sininen nuoli näyttää meteorin näkyvän lennon.

static map
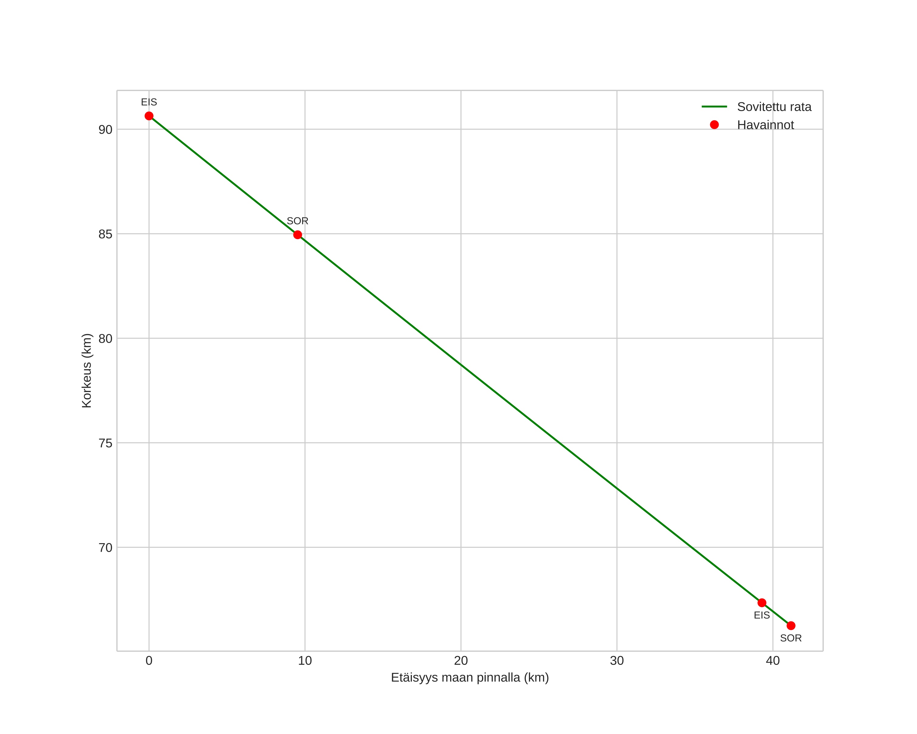
height profile
Meteorin ilmakehärata:
Alkukorkeus: 90,9 km
Loppukorkeus: 65,0 km
Alkupiste: 68,339N 16,770E
Loppupiste: 68,069N 16,174E
Suunta: 219,6°
Kallistuskulma: 33,7°
Tulonopeus: 28,4 km/s
Radiantin R,A,: 07:04 (106,1°)
Radiantin Dekl,: 46,6°
Meteoriparvi: Sporadinen
Meteoroidin rataelementit:
Perihelietäisyys: 0,387 AU
Eksentrisyys: 0,697
Inklinaatio: 25,4°
Nousevan solmun pituus: 262,1°
Perihelin argumentti: 298,6°
Keskianomalia: 327,0°
Epookki: 2023 DEC 14 15:55:21
orbit plot

Ei-interaktiivinen kuvaaja | Interaktiivinen kuvaaja

position vs time
speed and acceleration