🇳🇴 🇬🇧 🇩🇪 🇨🇿 🇫🇮

Meteor, poloha: Oppeid 2023-12-14 16:52:27 UTC

Soubor KML  |  InteraktivnĂ­ mapa

Mapa zobrazuje dráhy meteoru. Světlejší čáry ukazují směry od pozorovacích stanic při objevení se meteoru a tmavší čáry, kde byl naposledy viděn. Modrá šipka značí viditelnou dráhu meteoru.

static map
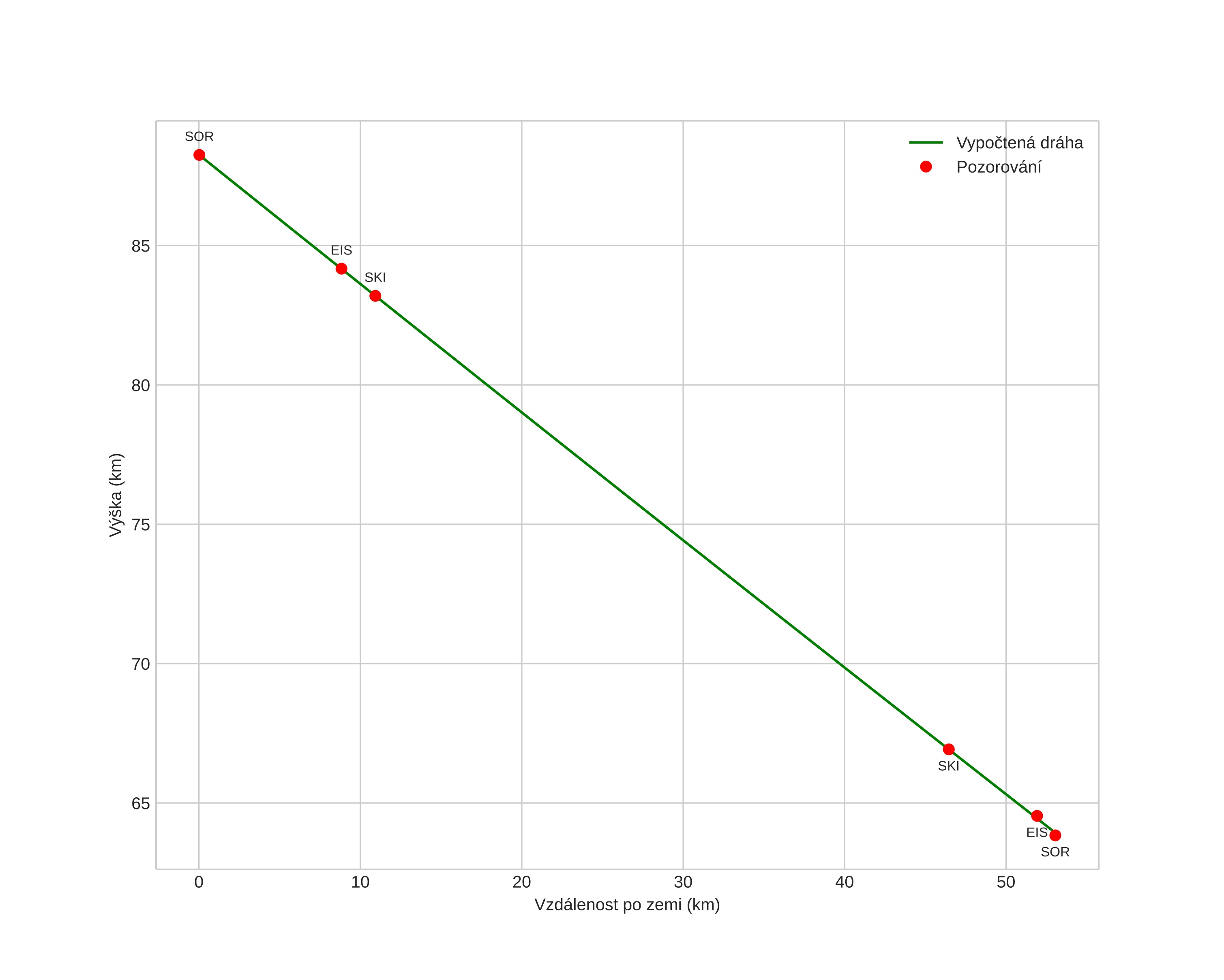
height profile
Atmosférická dráha meteoru:
Počáteční výška: 90,3 km
Konečná výška: 63,7 km
Počáteční poloha: 68,255N 16,471E
Konečná poloha: 67,955N 15,481E
Směr: 231,4°
Sklon: 26,7°
VstupnĂ­ rychlost: 31,8 km/s
Rektascenze radiantu: 07:20 (110,1°)
Deklinace radiantu: 36,7°
MeteorickĂ˝ roj: Geminidy
Elementy dráhy meteoroidu:
Vzdálenost v periheliu: 0,237 AU
Excentricita: 0,808
Sklon dráhy: 21,8°
Délka vzestupného uzlu: 262,1°
Argument perihelia: 314,3°
Střední anomálie: 329,4°
Epocha: 2023 DEC 14 16:52:27
orbit plot

NeinteraktivnĂ­ graf | InteraktivnĂ­ graf

position vs time
speed and acceleration