🇳🇴 🇬🇧 🇩🇪 🇨🇿 🇫🇮

Meteor Oppeidin yllä 2023-12-14 16:52:27 UTC

KML-tiedosto  |  Interaktiivinen kartta

Kartta näyttää meteorin suuntahavainnot. Vaaleammat viivat näyttävät suunnat havaintoasemilta meteorin ilmestyessä, ja tummemmat viivat näyttävät, missä se viimeksi nähtiin. Sininen nuoli näyttää meteorin näkyvän lennon.

static map
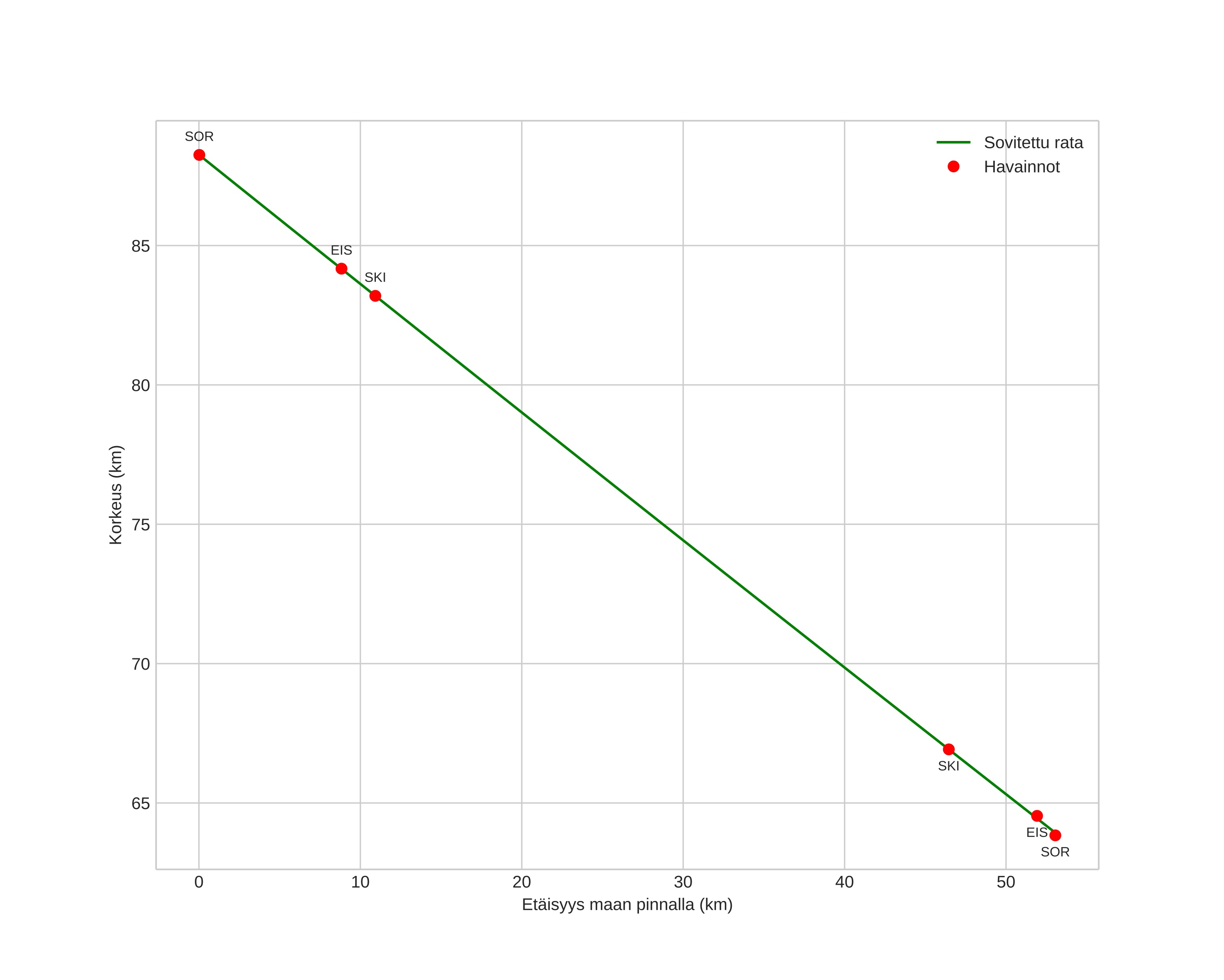
height profile
Meteorin ilmakehärata:
Alkukorkeus: 90,3 km
Loppukorkeus: 63,7 km
Alkupiste: 68,255N 16,471E
Loppupiste: 67,955N 15,481E
Suunta: 231,4°
Kallistuskulma: 26,7°
Tulonopeus: 31,8 km/s
Radiantin R,A,: 07:20 (110,1°)
Radiantin Dekl,: 36,7°
Meteoriparvi: Geminidit
Meteoroidin rataelementit:
Perihelietäisyys: 0,237 AU
Eksentrisyys: 0,808
Inklinaatio: 21,8°
Nousevan solmun pituus: 262,1°
Perihelin argumentti: 314,3°
Keskianomalia: 329,4°
Epookki: 2023 DEC 14 16:52:27
orbit plot

Ei-interaktiivinen kuvaaja | Interaktiivinen kuvaaja

position vs time
speed and acceleration