🇳🇴 🇬🇧 🇩🇪 🇨🇿 🇫🇮

Meteor, poloha: Storslett 2023-12-14 17:24:58 UTC

Soubor KML  |  InteraktivnĂ­ mapa

Mapa zobrazuje dráhy meteoru. Světlejší čáry ukazují směry od pozorovacích stanic při objevení se meteoru a tmavší čáry, kde byl naposledy viděn. Modrá šipka značí viditelnou dráhu meteoru.

static map
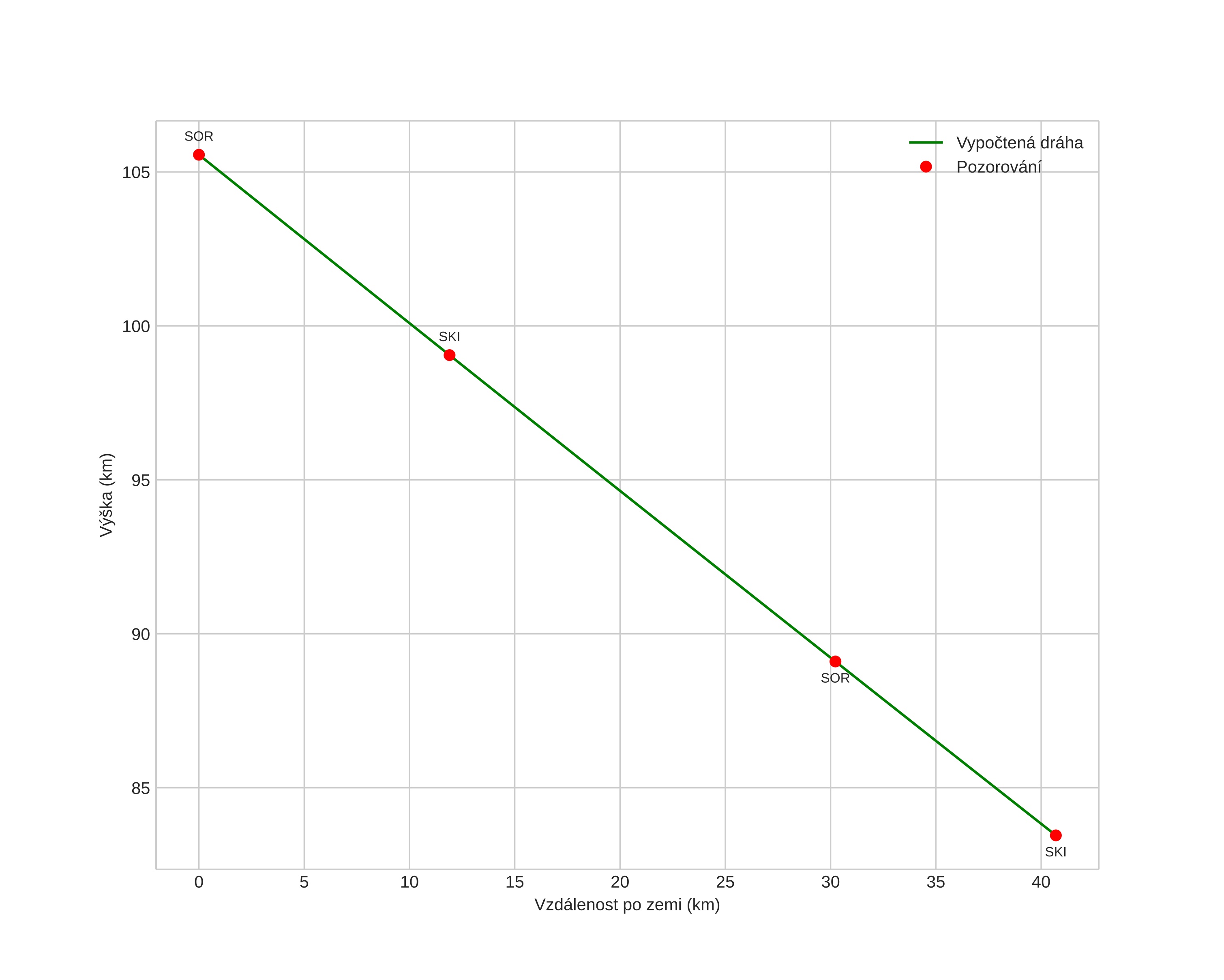
height profile
Atmosférická dráha meteoru:
Počáteční výška: 102,0 km
Konečná výška: 83,4 km
Počáteční poloha: 69,638N 21,873E
Konečná poloha: 69,495N 21,032E
Směr: 244,4°
Sklon: 27,1°
VstupnĂ­ rychlost: 49,1 km/s
Rektascenze radiantu: 07:21 (110,3°)
Deklinace radiantu: 33,4°
MeteorickĂ˝ roj: sporadickĂ˝
Elementy dráhy meteoroidu:
Vzdálenost v periheliu: 0,105 AU
Excentricita: 1,024
Sklon dráhy: 41,5°
Délka vzestupného uzlu: 262,1°
Argument perihelia: 319,9°
Střední anomálie: -3,3°
Epocha: 2023 DEC 14 17:24:58
orbit plot

NeinteraktivnĂ­ graf | InteraktivnĂ­ graf

position vs time
speed and acceleration