🇳🇴 🇬🇧 🇩🇪 🇨🇿 🇫🇮

Meteor Storslettin yllä 2023-12-14 17:24:58 UTC

KML-tiedosto  |  Interaktiivinen kartta

Kartta näyttää meteorin suuntahavainnot. Vaaleammat viivat näyttävät suunnat havaintoasemilta meteorin ilmestyessä, ja tummemmat viivat näyttävät, missä se viimeksi nähtiin. Sininen nuoli näyttää meteorin näkyvän lennon.

static map
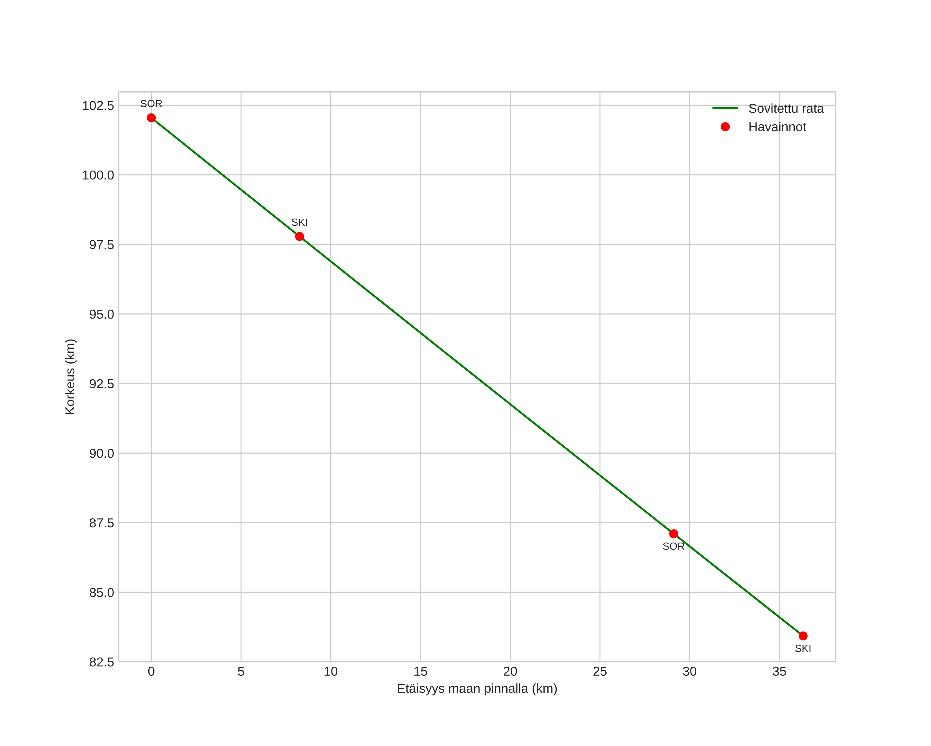
height profile
Meteorin ilmakehärata:
Alkukorkeus: 102,0 km
Loppukorkeus: 83,4 km
Alkupiste: 69,638N 21,873E
Loppupiste: 69,495N 21,032E
Suunta: 244,4°
Kallistuskulma: 27,1°
Tulonopeus: 49,1 km/s
Radiantin R,A,: 07:21 (110,3°)
Radiantin Dekl,: 33,4°
Meteoriparvi: Sporadinen
Meteoroidin rataelementit:
Perihelietäisyys: 0,105 AU
Eksentrisyys: 1,024
Inklinaatio: 41,5°
Nousevan solmun pituus: 262,1°
Perihelin argumentti: 319,9°
Keskianomalia: -3,3°
Epookki: 2023 DEC 14 17:24:58
orbit plot

Ei-interaktiivinen kuvaaja | Interaktiivinen kuvaaja

position vs time
speed and acceleration